Предмет: Алгебра,
автор: maxbrant46rus
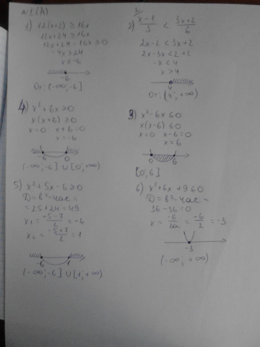
Помогите пожалуйста решить 1 блок(А) и по возможности 2(В).Пожалуйста очень надо.
Приложения:
Ответы
Автор ответа:
0
1 блок (а) 1-8 - решение, 2 блок (В) 1-3 - решение, ост. не знаю как решать)
Приложения:
Похожие вопросы
Предмет: Русский язык,
автор: Olga3068
Предмет: Геометрия,
автор: kornlosha26
Предмет: Английский язык,
автор: Xlatiiiii
Предмет: История,
автор: cata12345
Предмет: Литература,
автор: katrinhome