Предмет: Математика,
автор: даня22071
ПОМОГИТЕ ПОЖАЛУЙСТА С МАТЕМАТИКОЙ
Приложения:
Ответы
Автор ответа:
1
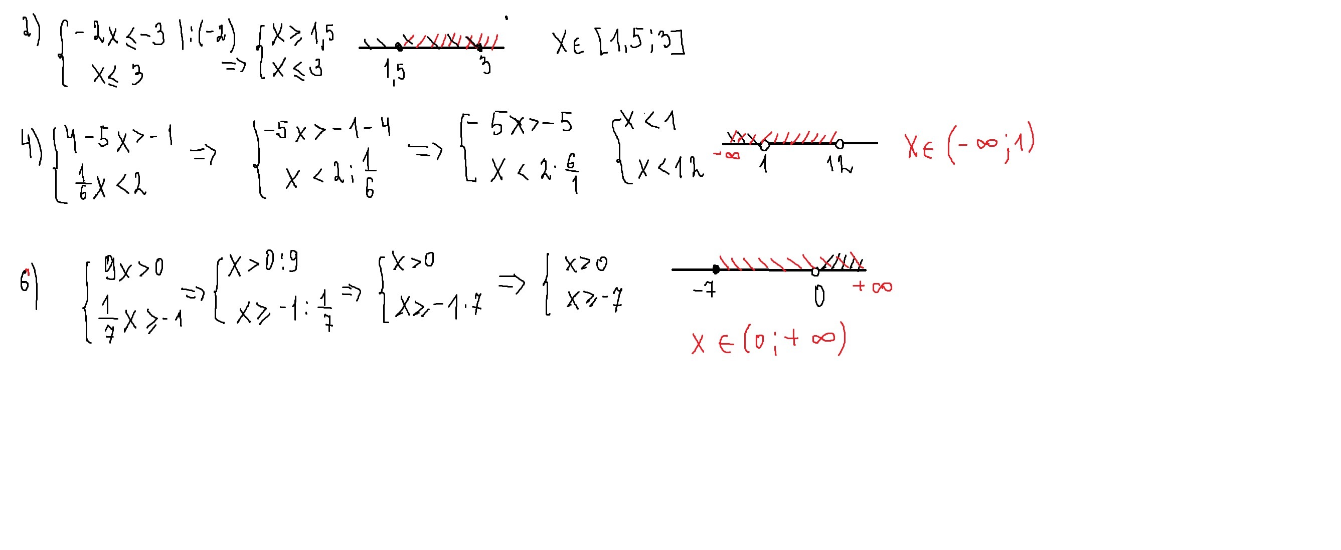
смотри решение внизу
Приложения:
даня22071:
спасибо
Похожие вопросы
Предмет: Алгебра,
автор: amir36mm53
Предмет: Информатика,
автор: linatalia1979
Предмет: Алгебра,
автор: asylbekovnagulsana
Предмет: Математика,
автор: незнайка494
Предмет: Физика,
автор: Arinkkka