Предмет: Математика,
автор: LUCIUS6696
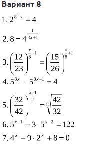
Помогите решить 4 номер, пожалуйста
Приложения:
Ответы
Автор ответа:
0
Смотри /////////////////////
Приложения:
Похожие вопросы
Предмет: Геометрия,
автор: emopinkipay
Предмет: Геометрия,
автор: ctctftd
Предмет: Математика,
автор: 19vika10vika10
Предмет: Литература,
автор: vlad3310
Предмет: Математика,
автор: януся369