Предмет: Математика, автор: jusacoff

меташкола зимняя олимпиада по математике 9 класс, решите задание с фотографии

Приложения:

Ответы

Автор ответа: bearcab
0
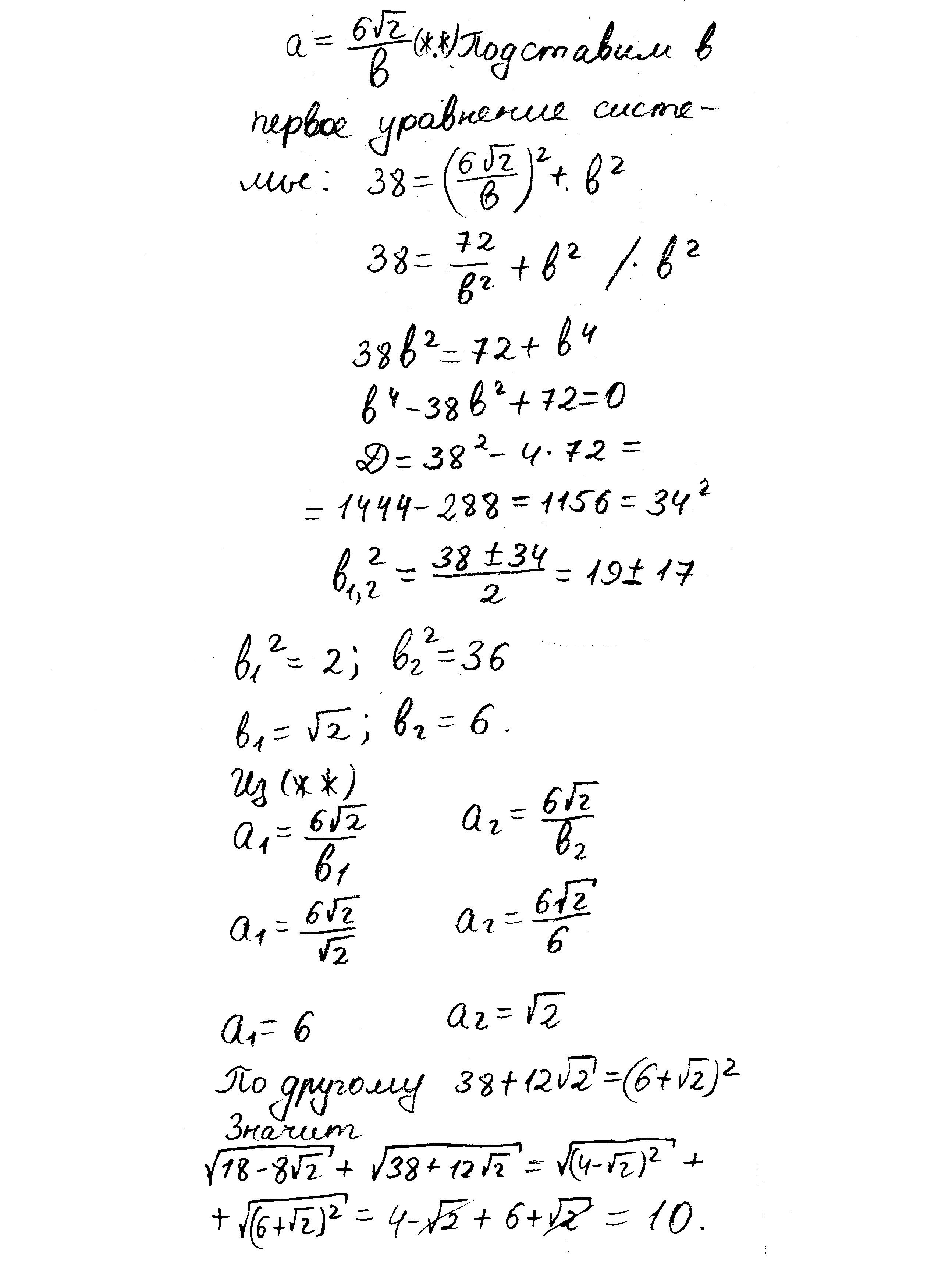
 sqrt{18-8 sqrt{2} } + sqrt{38+12 sqrt{2} } = sqrt{(4- sqrt{2} )^2}+ sqrt{(6+ sqrt{2} )^2}=

=4- sqrt{2}+6+sqrt{2}=4+6=10
Приложения:
Автор ответа: 500593
0
Во 2 задании какой ответ?
Приложения:
Автор ответа: 500593
0
в олимпиаде
Автор ответа: jusacoff
0
уже отправил, не помню
Похожие вопросы
Предмет: Биология, автор: Nika191109
Предмет: Математика, автор: Аноним
Предмет: Математика, автор: Параьять