Предмет: Математика,
автор: antontaekwondo
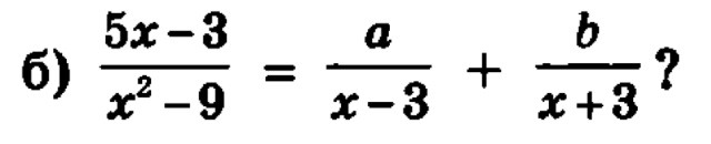
При каких значениях a и b выполняется тождество?
Приложения:
Ответы
Автор ответа:
0
3a-3b=-3
ax+bx=5x
a-b=-1
a+b=5
те:
а=2
b=3
ax+bx=5x
a-b=-1
a+b=5
те:
а=2
b=3
Похожие вопросы
Предмет: Информатика,
автор: muratnakhushev486
Предмет: Математика,
автор: ulyaneanusimov
Предмет: Литература,
автор: veronikakurinkova
Предмет: Химия,
автор: Alinka151