Предмет: Математика, автор: botuchenyy

Помогите решить 6 упражнение пажалуйста прошу умаляю

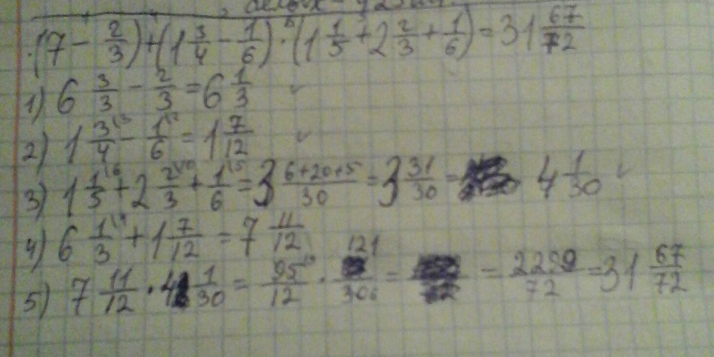
Приложения:

Ответы

Автор ответа: Часур
0
не чётко видно цифры у тебя в примере,если я правильно увидел,то вот решение
Приложения:
Похожие вопросы
Предмет: Русский язык, автор: skaterina2609
Вариант 2 ВАРИАНТ 2 Перепишите текст 1, раскрывая скобки, вставляя, где это необходимо, пропу- щенные буквы и знаки препинания. (В)теченис. долгой (C/с)ев..рной ночи люди мечтают о лет. ) вечер ) Однажды утром, когда отчахвшиеся люди уже потеряли надежду на лета, х.. лодный ветер вн. запно стих. (Из)за свинц..вой мути робко и (не)уверен/нно от на преход проглянул голубой глазок неба. Потом (в)дали глухо бухнуло. И вдру(г/к) оглуши т..льный грохот сотряс землю. Barrow) (Не)смотря на лив..нь, захлопали двери. Люди выб..гали на улицу ставили уша- ты под п..токи под прол.. вным дождём радос..но перекл..кались друг с другом. По в(з/с)пене(н/нным лужам бос...ногие реб..тишки выс..девш..е дома. Нач..лось короткое (С/с)ев..рное лето. Оно заш..гало по влажным курящ. .мся лё(г/к)ким паром п..лям с проклюнувш.. M..ся в(з/с)ходами по обочинам дорог опу- ш..(н/нных нежнейш..й зел..нью по оживш..м (3) пер..лескам. Играла ширилась на со..нце молодая берёз..вая рощ..ца вся подёрнутая з..лёной дымкой. (По Ф. Абрамову)​