Предмет: Математика,
автор: Аноним
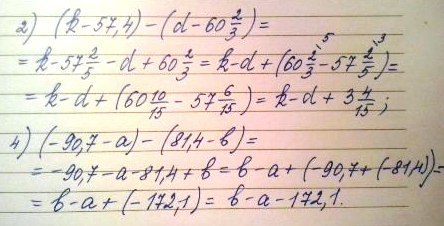
Запишите и упростите разность выражений:
1. k - 57,4 и d - 60 целых 2/3
2. -90,7 - a и 81,4 - b
Ответы
Автор ответа:
0
Решение во вложенном изображении
Приложения:
Похожие вопросы
Предмет: Физика,
автор: gataullinemil65
Предмет: Математика,
автор: falletest3
Предмет: Физика,
автор: cokosik
Предмет: Алгебра,
автор: dastyalena1923
Предмет: Физика,
автор: Ksenia060202