Предмет: Алгебра,
автор: danildaniltar
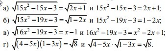
Равносильны ли следующие уравнения? Ответ обоснуйте.
Приложения:
Ответы
Автор ответа:
0
А) Решаем второе уравнение.
15x^2-15x-3=2x+1
15x^2-17x-4=0
x1=-1/5; x2=4/3.
Подставляем каждый корень в первое уравнение.
√(15*1/25+15*1/5-3)=√(3/5)
√(-2*1/5+1)=√(3/5)
Оба числа существуют и при этом равны, значит, x1 подходит.
√(15*16/9-15*4/3-3)=√(11/3)
√(2*4/3+1)=√(11/3)
Эти числа тоже равны.
Да, это равносильные уравнения.
Б) 15x^2-19x-3=1-2x
15x^2-17x-4=0
Уравнение такое же, корни те же.
x1=-1/5; x2=4/3
Подставляем корни в первое уравнение и получаем, что корень x2 не подходит.
√(1-2x)=√(1-2*4/3)=√(-5/3)
Корень из отрицательного числа не существует.
Нет, они не равносильны.
В) 16x^2-19x-3=x^2-2x+1
15x^2-17x-4=0
Корни опять те же самые.
x1=-1/5; x2=4/3
Подставляем в первое уравнение.
√(16*1/25+19*1/5-3)=√(36/25)=6/5
x-1=-1/5-1=-6/5.
Числа разные, x1 не подходит.
Нет, они не равносильны.
Г) Здесь не обязательно решать, достаточно сравнить области определения.
У первого уравнения
(4-5x)(1-3x)>=0
x € (-oo; 1/3] U [4/5; +oo)
У второго уравнения система
{ 4-5x>=0
{ 1-3x>=0
Решаем
{ x<=4/5
{ x<=1/3
x € (-oo; 1/3]
Области определения разные.
Нет, они не равносильны.
15x^2-15x-3=2x+1
15x^2-17x-4=0
x1=-1/5; x2=4/3.
Подставляем каждый корень в первое уравнение.
√(15*1/25+15*1/5-3)=√(3/5)
√(-2*1/5+1)=√(3/5)
Оба числа существуют и при этом равны, значит, x1 подходит.
√(15*16/9-15*4/3-3)=√(11/3)
√(2*4/3+1)=√(11/3)
Эти числа тоже равны.
Да, это равносильные уравнения.
Б) 15x^2-19x-3=1-2x
15x^2-17x-4=0
Уравнение такое же, корни те же.
x1=-1/5; x2=4/3
Подставляем корни в первое уравнение и получаем, что корень x2 не подходит.
√(1-2x)=√(1-2*4/3)=√(-5/3)
Корень из отрицательного числа не существует.
Нет, они не равносильны.
В) 16x^2-19x-3=x^2-2x+1
15x^2-17x-4=0
Корни опять те же самые.
x1=-1/5; x2=4/3
Подставляем в первое уравнение.
√(16*1/25+19*1/5-3)=√(36/25)=6/5
x-1=-1/5-1=-6/5.
Числа разные, x1 не подходит.
Нет, они не равносильны.
Г) Здесь не обязательно решать, достаточно сравнить области определения.
У первого уравнения
(4-5x)(1-3x)>=0
x € (-oo; 1/3] U [4/5; +oo)
У второго уравнения система
{ 4-5x>=0
{ 1-3x>=0
Решаем
{ x<=4/5
{ x<=1/3
x € (-oo; 1/3]
Области определения разные.
Нет, они не равносильны.
Похожие вопросы
Предмет: Геометрия,
автор: volguzovadara
Предмет: Английский язык,
автор: Poli13iii
Предмет: Математика,
автор: zaradas
Предмет: Математика,
автор: filimonovaanya
Предмет: Математика,
автор: poluyshka