Предмет: Алгебра,
автор: natashahera
Помогите пожалуйста решить)
Приложения:
Ответы
Автор ответа:
0
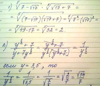
Решение во вложенном изображении
Приложения:
Автор ответа:
0
Огромное спасибо)
Похожие вопросы
Предмет: Другие предметы,
автор: milka88822
Предмет: Физика,
автор: sofiasutula1
Предмет: Алгебра,
автор: bogdan44444
Предмет: Математика,
автор: xazeevaa