Предмет: Алгебра,
автор: ivanpetrov123
Пожалуйста, помогите решить задание подробно. Задание № 82, 83.
Заранее спасибо!!!
Приложения:
Ответы
Автор ответа:
0
(Двадцать индийских слонов)
Приложения:
Автор ответа:
0
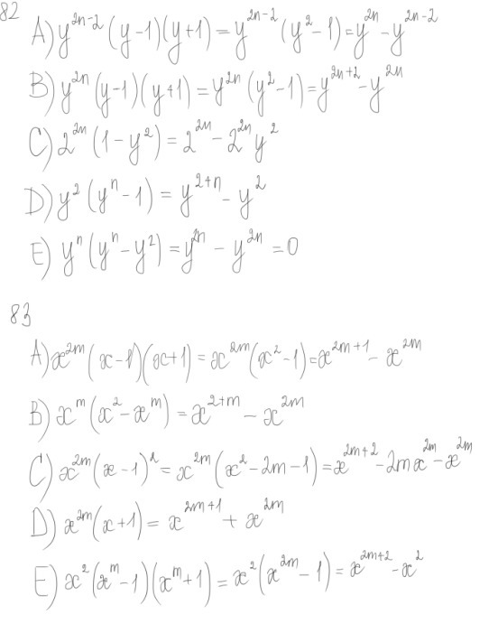
82. y²ⁿ-y²ⁿ⁻²=y²ⁿ⁻²*(y²-1)=y²ⁿ⁻²*(y-1)*(y+1).
Ответ: А).
83. x²ⁿ⁺²-x²ⁿ=x²ⁿ*(x²-1)=x²ⁿ*(x-1)*(x+1).
Ответ: А).
Ответ: А).
83. x²ⁿ⁺²-x²ⁿ=x²ⁿ*(x²-1)=x²ⁿ*(x-1)*(x+1).
Ответ: А).
Приложения:
Автор ответа:
0
В №83 вместо степени m - n.
Автор ответа:
0
Просто замените n на m.
Похожие вопросы
Предмет: Математика,
автор: butrikulana
Предмет: Другие предметы,
автор: darubainursek
Предмет: Геометрия,
автор: P1xSET
Предмет: Математика,
автор: таня486
Предмет: Математика,
автор: SlavikZabrodniy