Предмет: Геометрия, автор: watchwoamn34

сторона равностороннего треугольника равна 18м. Найдите биссектрису этого треугольника.

Ответы

Автор ответа: 19farukh75
0
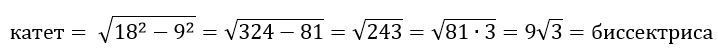
Если в равностороннем треугольнике, сторона которого равна 18м  провести биссектрису или медиану, то получится два прямоугольных треугольника у которых гипотенуза равна 18 м  и катет 18/2=9м, а второй катет(биссектриса) нужно будет найти по теореме Пифагора. 
Решение на фото.
Приложения:
Похожие вопросы
Предмет: Музыка, автор: aimankaraeva62
7 УРОК подготовка и создание проект (ель проекта познакомиться с самыми красивыми органами в На уроке 1 one tense rему проекта Num Lock 4 часу реации проекта, 5 умся работать в группе Задание: музыка». 2. Определите цель проекта. По теме проекта разных странах Задачи: умсе составить план работы проекта, найти материалы об органах в разных странах, 3. умс ходит необходимую информацию, подготовить спайды с видами красивых органов мира. подготовить выступление с показом спадов с органами в соборак дира Результаты работы: 1. Определите несколько групп и выберите предлагаем - показ презентации о показом разных видов органов с прослуши анием произведений по пройденным темам: «Органная музыка», «Симфоничоска Тема проекта, «Симфоническая музыка «Искусство оперы и балета», «Казахская профессиональ цепь проекта: познакомиться с симфониями венских классиков устной традицин», «Казахская профессиональная Гайдна, Моцарта, Бетховена). Задачи: - найти материалы о симфониях одного из упомянутых авторов, 3. Из различных источников найдите информацио подготовить небольшой рассказ о симфонии - подготовить музыкальный материал (фрагменты из симфонии). 4. Составьте план работы над проектом. 5. Проведите обсуждение по теме проекта со своей Г Результаты работы: выступление срассказом о симфонии с демонстрацией фрагмен ов музыки симфонии, Тема проекта: «Органная музыка» (1 вариант) Тема проекта «Искусство балета и опоры» Цель проекта: познакомиться с произведениями, написа Цель проекта: познакомиться с опорными (балотными) произво- јениями. Задачи: - найти материалы о произведениях, написанных для орі - найти материалы об опере (балете); - подготовить слайды по произведениям для органа; - подготовить презентацию об опере (балете); - подготовить выступление об органной музыке, подготовить музыкальный материал (фрагменты из оперы или балета). - показ презентации по органной музыке с прослушивани Результаты работы: - выступление с презентацией об опере (балете) с демонстрацией фрагментов музыки. Тема проекта: «Органная музыка» (2 вариант) трут Примеры: органа. Задачи: Результаты работы: ведения.​