Предмет: Алгебра, автор: DashaV19022001

Решите плииииииззз!!!!! Даю 99 баллов!!!!
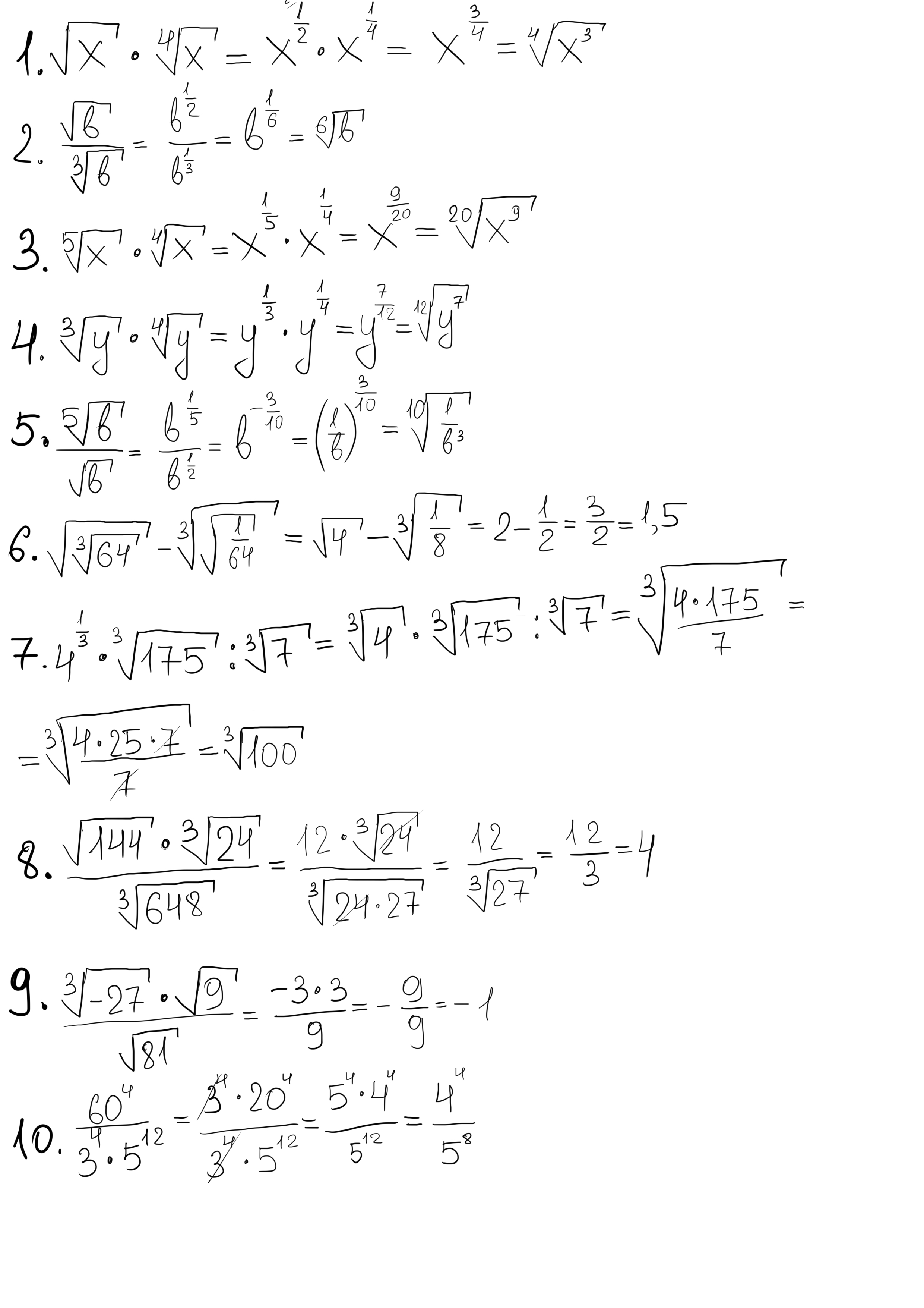
1.  sqrt[]{x} *  sqrt[4]{x} = сократите дробь
2.  frac{ sqrt[]{b} }{ sqrt[3]{b} } = упростите выражение
3.  sqrt[5]{x} * sqrt[4]{x} = упростите выражение
4.  sqrt[3]{y} * sqrt[4]{y} = упростите выражение
5.  frac{ sqrt[5]{b} }{ sqrt[]{b} } = упростите выражение
6.  sqrt{ sqrt[3]{64} } -  sqrt[3]{ sqrt{ frac{1}{64} } } = вычислите
7. 4^{frac{1}{3} } * sqrt[3]{175} } : { sqrt[3]{7} 
= найдите значение выражения
8.  frac{ sqrt{144} * sqrt[3]{24} }{ sqrt[3]{648} }  = упростите выражение
9.  frac{sqrt[3]{-27} * sqrt{9}}{sqrt{81}} = упростите выражение
10. frac{60^{4}}{3^{4} * 5^{12}}  = вычислите
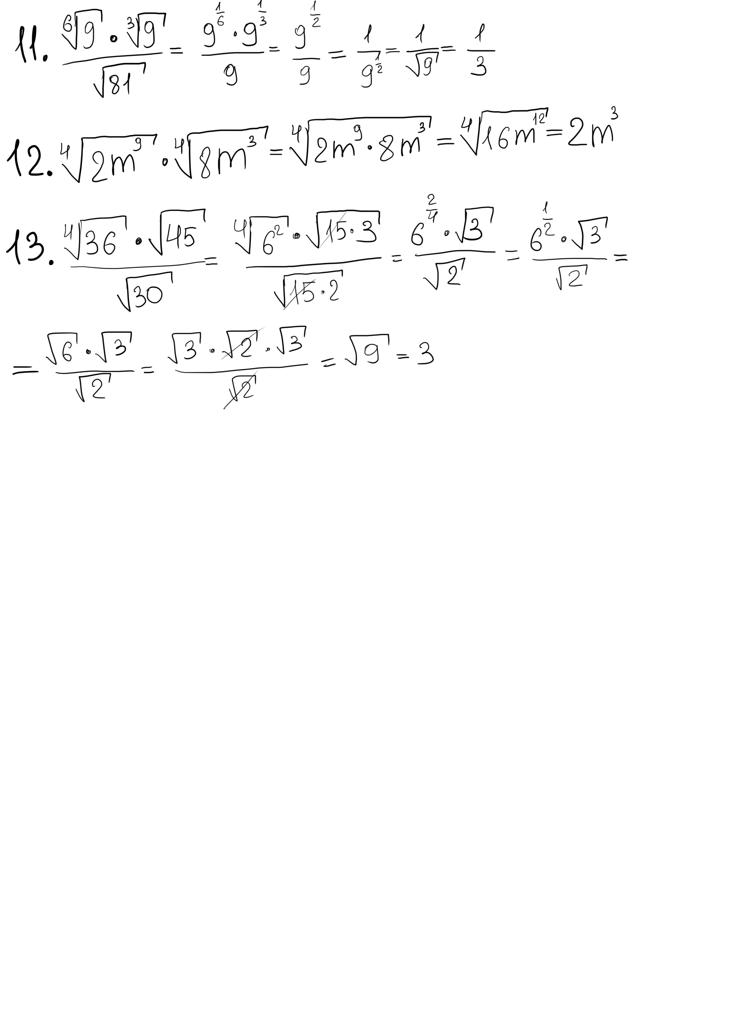
11. frac{sqrt[6]{9} * sqrt[3]{9}}{sqrt{81}} = упростите выражение
12.  sqrt[4]{2m^{9}} * sqrt[4]{8m^{3}} = упростите выражение
13.  frac{ sqrt[4]{36} * sqrt{45} }{ sqrt{30} } = упростите выражения

Ответы

Автор ответа: Kirik009
0
в седьмом никак не могу прийти к нормальному числу, никак не получается
Приложения:
Автор ответа: DashaV19022001
0
ого, спасибо огромное, человек который пожертвовал своим временем ради чужого для него существа!!!!))))
Похожие вопросы
Предмет: Алгебра, автор: widAM
Предмет: Математика, автор: Даниил1Устинов