Предмет: Алгебра,
автор: MartinaL
Решите очень срочно!!
1) cos(270+l)-sin(180+2l)-ctg(360-l)
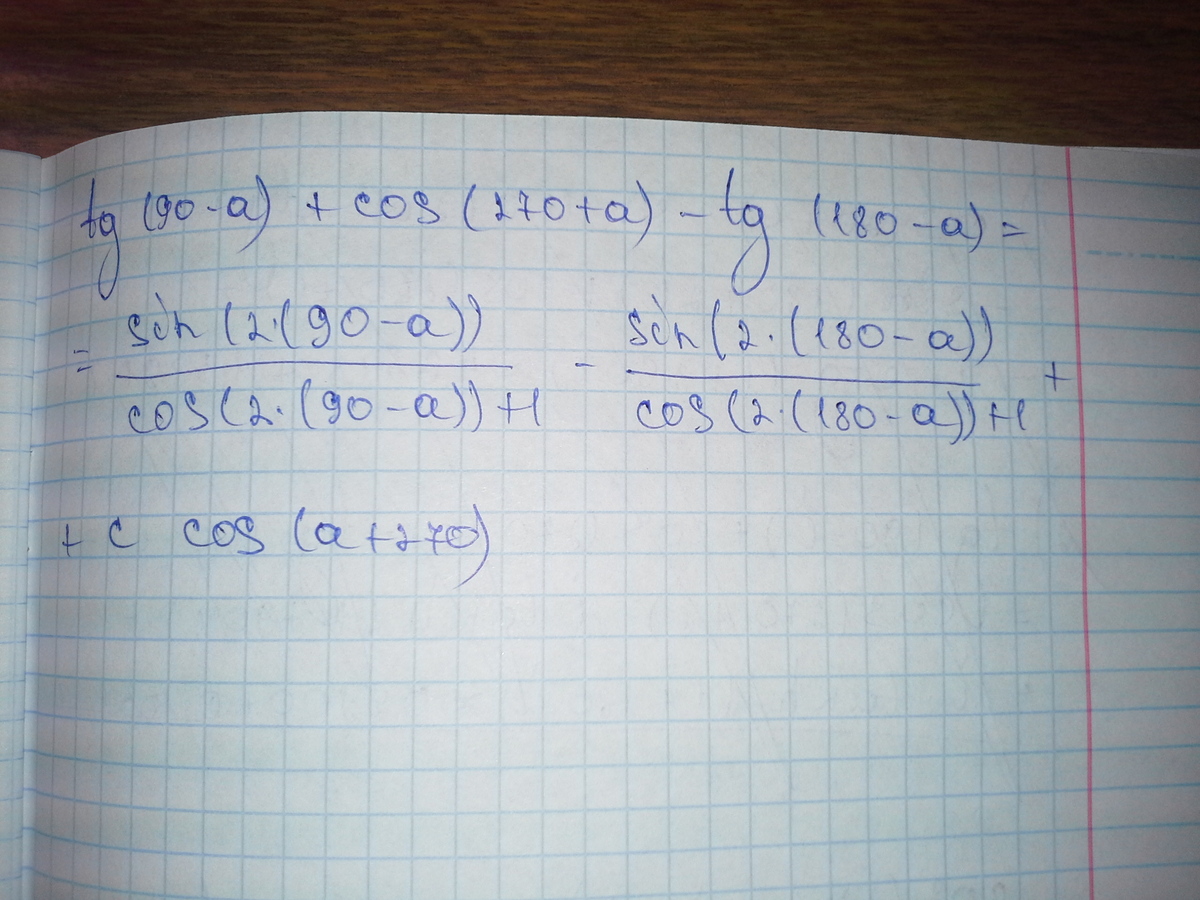
2) tg(90-l)+cos(270+l)-tg(180-l)
кому не понятно, l- это альфа
Ответы
Автор ответа:
0
Решение на фотографии!!!!!!
Приложения:
Похожие вопросы
Предмет: Информатика,
автор: voloshchenkokira
Предмет: Математика,
автор: voddakas
Предмет: Математика,
автор: Аноним
Предмет: Алгебра,
автор: Mary2507
Предмет: Литература,
автор: Tasenkaa