Предмет: Алгебра,
автор: Mynick11

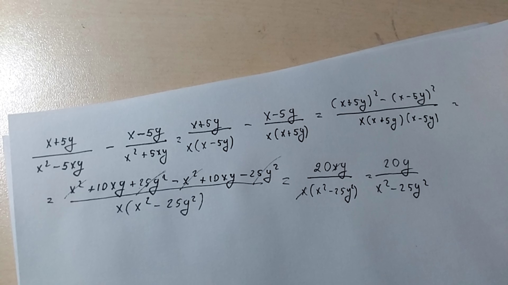
Помогите решить я знаю что нужно найти общий множитель,потом записать обе дроби под одной делительной чертой,но решить я сам не могу
Ответы
Автор ответа:
0
в прикрепе.....................
Приложения:
Похожие вопросы
Предмет: Английский язык,
автор: trust12
Предмет: Английский язык,
автор: dimasik200812
Предмет: История,
автор: nik9778646973
Предмет: Математика,
автор: dawa09