Предмет: Математика,
автор: seregayulin
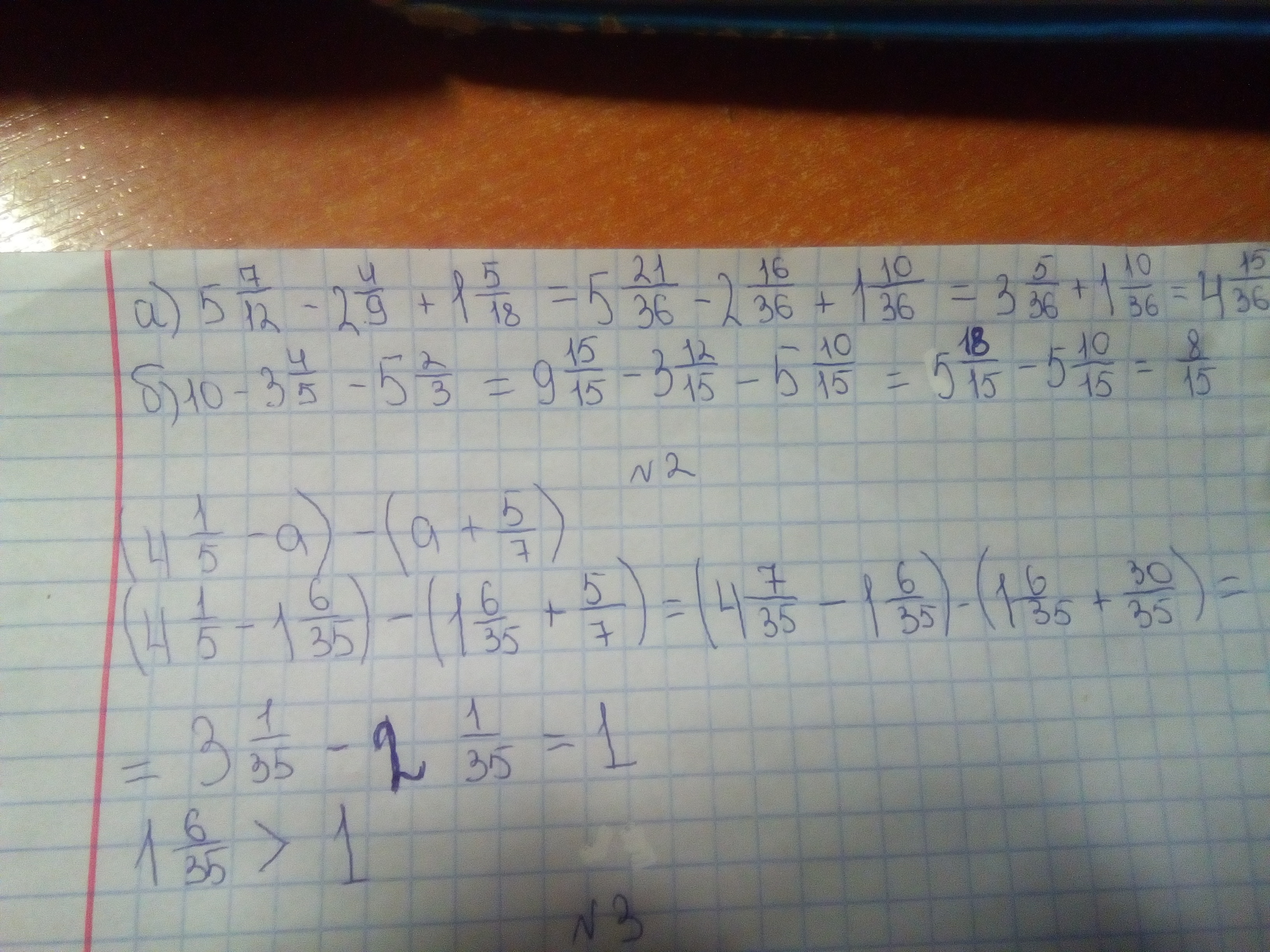
УМОЛЯЮ РЕШИТЕ ПОДАЛУЙСТТА Я НЕ ПОНИМАЮ ТЕМУ, но ДЗ ДЕЛАТЬ НАДО ПОДАЛУЙСТА!!!!!!!!! Ради бога ПОМОГИТЕ!!!!!
Приложения:
Ответы
Автор ответа:
0
Извини, третье не помню как решать
Приложения:
Похожие вопросы
Предмет: Русский язык,
автор: olegGrishchenia
Предмет: Русский язык,
автор: Аноним
Предмет: Математика,
автор: Аноним
Предмет: Геометрия,
автор: Rambo6
Предмет: Математика,
автор: bcɠɟѵɠɟŋѵ