Предмет: Алгебра,
автор: otoshol62
ПРОШУ ПОМОГИТЕ!!! ОТВЕТ НАПИШИТЕ В ВИДЕ ДРОБИ!
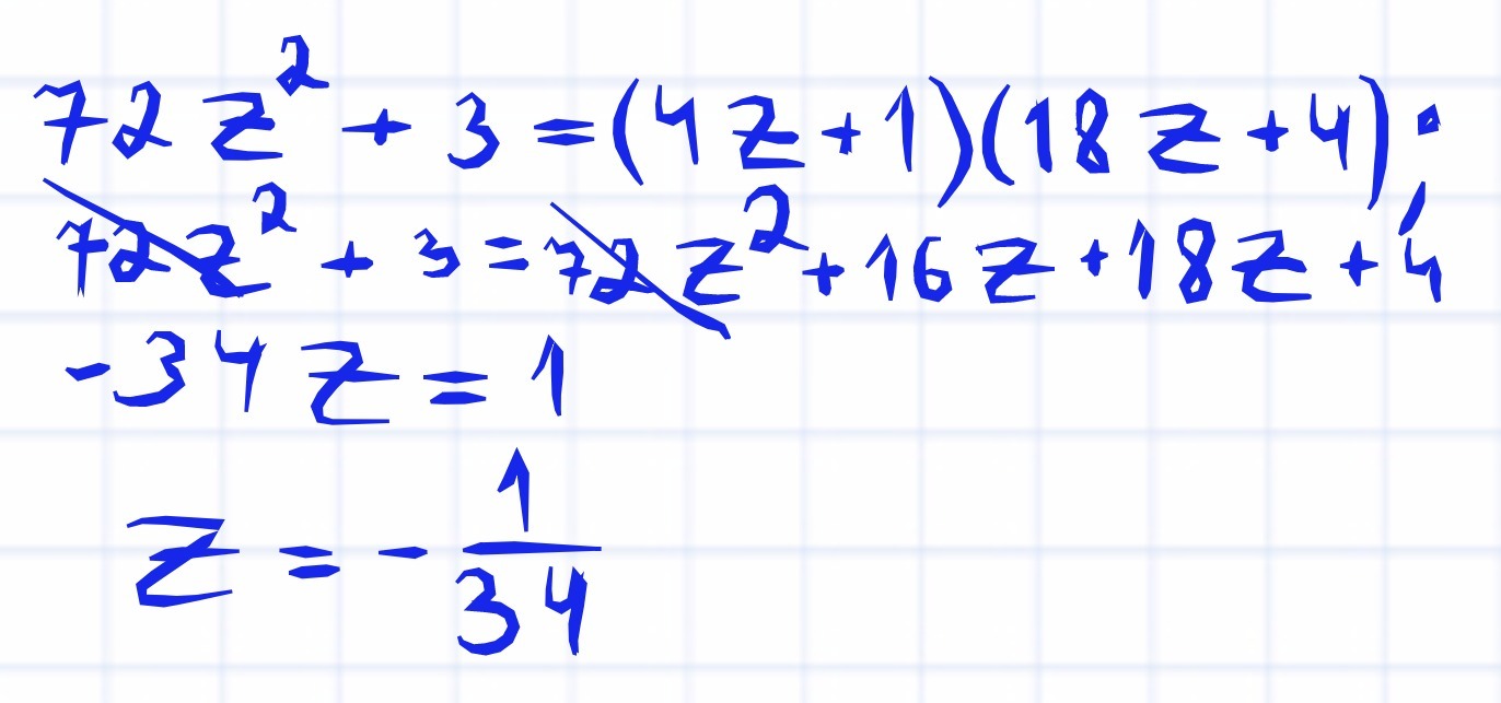
Выполни действия: 72z^2+3=(4z+1)(18z+4)
Ответы
Автор ответа:
0
Решение во вложении, надеюсь видно
Приложения:
Похожие вопросы
Предмет: Биология,
автор: Аноним
Предмет: Русский язык,
автор: Аноним
Предмет: Алгебра,
автор: aloziy777
Предмет: Биология,
автор: Неля1979
Предмет: Литература,
автор: солнце107