Предмет: Алгебра,
автор: aloziy777
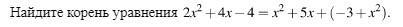
С подробным решением
Приложения:
Ответы
Автор ответа:
1
Ответ:
Объяснение:
Похожие вопросы
Предмет: Математика,
автор: Antocloyn1
Предмет: Окружающий мир,
автор: evgenyaslesh
Предмет: Математика,
автор: Karinaani
Предмет: Русский язык,
автор: romabest3421
Предмет: Русский язык,
автор: nata19852010