Предмет: Математика,
автор: Аноним
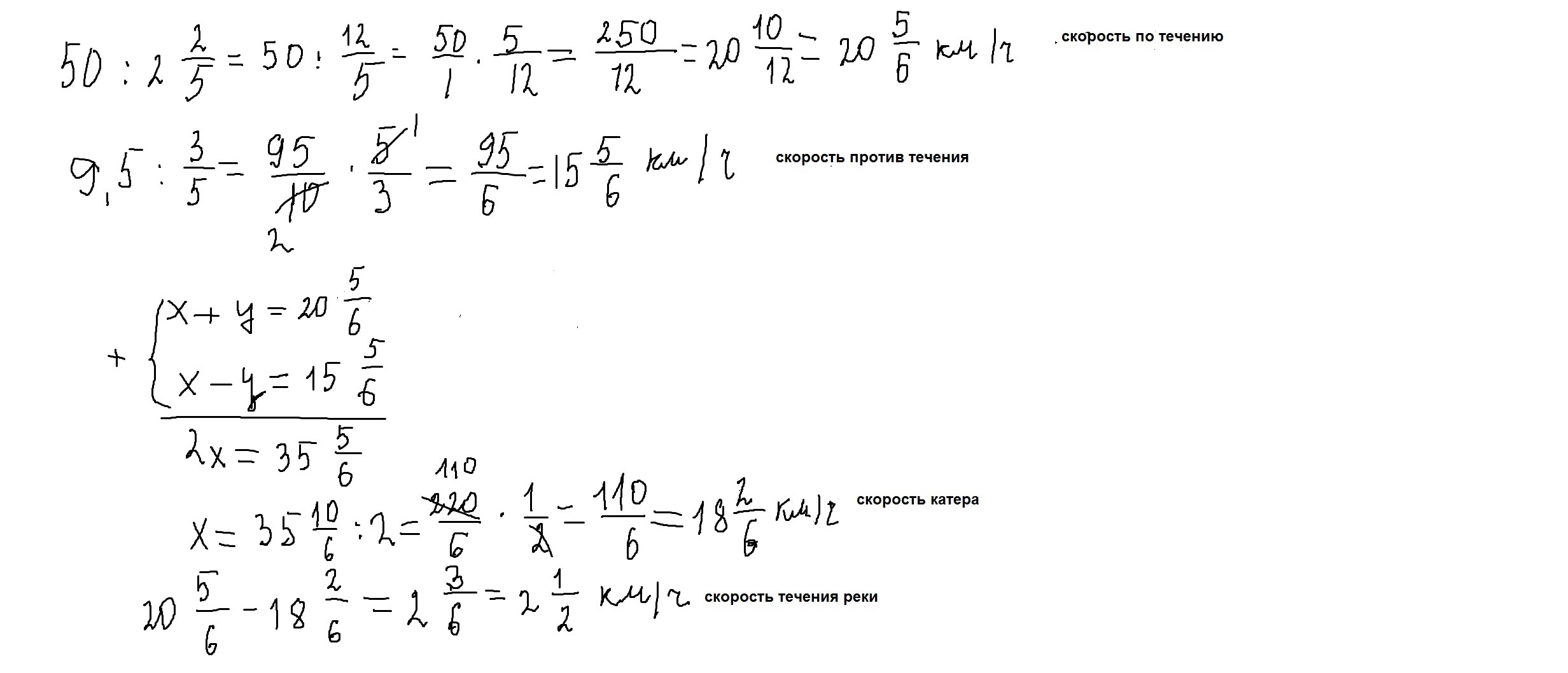
Катер проплив за течією річки 50 км за 2 цілих 2/5 год, а потім 9,5 км проти течії за 3/5 год. Знайдіть швидкість течії річки
Ответы
Автор ответа:
0
решение задачи смотри внизу.извини,что на русском.
Приложения:
Похожие вопросы
Предмет: Русский язык,
автор: husen190707
Предмет: Математика,
автор: Аноним
Предмет: Русский язык,
автор: nurzatzaksydajkyzy
Предмет: Математика,
автор: Аноним
Предмет: Математика,
автор: ilnara06