Предмет: Математика,
автор: zararal2005
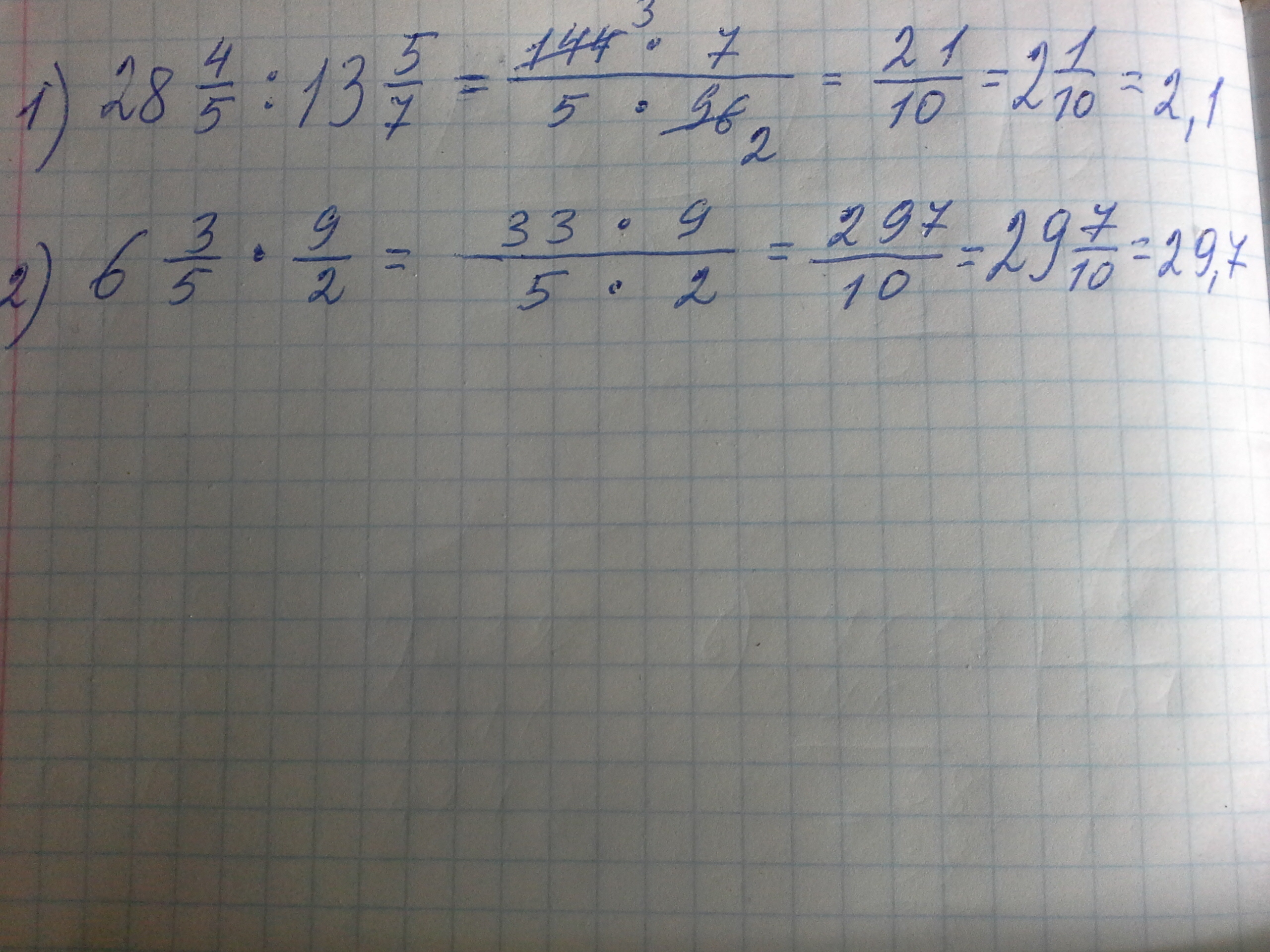
1)28 4/5 :13 5/7= решить
2) 6 3/5*9/2= решить
Помогите пожалуйста!!
Ответы
Автор ответа:
0
смотри фото)))))))))))))
Приложения:
Похожие вопросы
Предмет: Геометрия,
автор: valeriavaleri2008
Предмет: Химия,
автор: Patrik1233
Предмет: Английский язык,
автор: andreyfrolov030
Предмет: Математика,
автор: giitor
Предмет: История,
автор: Аноним