Предмет: Алгебра,
автор: диана12345678902
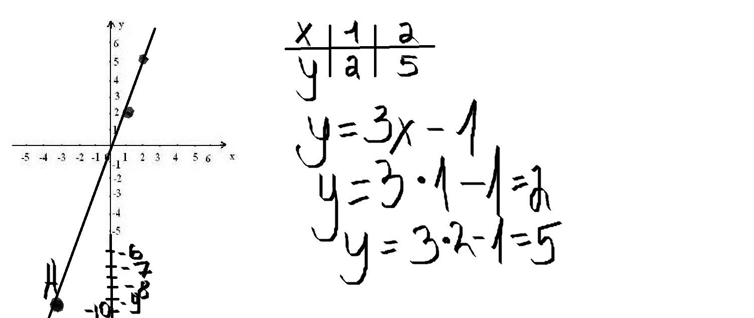
постройте график функции: у=3х-1
Проходит ли этот график через точку А(-3,-10)
Ответы
Автор ответа:
0
Извини за неаккуратность
Приложения:
Автор ответа:
0
зыбыла ответ Ответ:да
Похожие вопросы
Предмет: Химия,
автор: muhomedanovasabrina
Предмет: Геометрия,
автор: dobrajvadim
Предмет: Русский язык,
автор: kuanyshgizatn1
Предмет: Математика,
автор: xacx