Предмет: Алгебра, автор: Тембулат14

сделать 3 задание по действиям пж

Приложения:

Ответы

Автор ответа: ВикаВикторовна
0
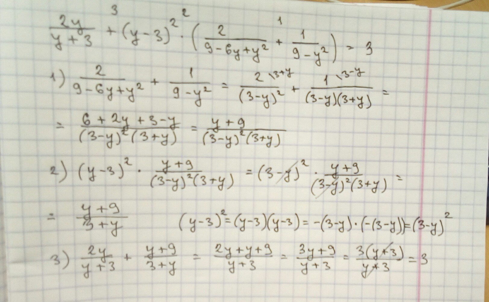
см. фото. я там в 2) расписала, почему (у-3)² = (3-у)² , это можно не писать.
Приложения:
Похожие вопросы
Предмет: Русский язык, автор: Vladimir4tim
Определите, сколько букв Н пишется в словах из данных предложений.




Тем не менее разнообразие астрофитумов весьма ограничен..о, все их вариации хорошо известны и представлены в любительских коллекциях. (Д.Семёнов)
Конечная цель определен..а, и каждый день ― продвижение к цели. (В.Токарева)
Как и возле предыдущей деревни, поле было разделен..о на нивы-полоски с узкими, едва заметными между ними межами. (В.Быков)
Пока не пойму, кому моё сочинение адресован..о, я не буду знать, с чего мне его начать. (В.Белоусова)
Оборван.. он, не разберёшь, во что он одет. (М.Булгаков)
Мой сын помешан.. на древней мифологии с тех пор, когда еще комиксы читал. (Д.Рубина)
Важно было то, что сосредоточившаяся в этих лесах, чтобы нанести удар исподтишка по советским войскам, отборная дивизия с грозным именем "Викинг" обречен..а на гибель. (Э.Казакевич)
Предмет: Английский язык, автор: zlatahodyreva
Предмет: География, автор: Angelika15042003
Предмет: Биология, автор: Елизавета1639