Предмет: Алгебра,
автор: pavlik190675
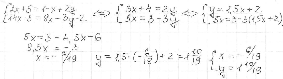
СРОЧНО.система уравения
2x+5=1-x+2y
14x-5=9x-3y-2
Ответы
Автор ответа:
0
_________________________________
Приложения:
Похожие вопросы
Предмет: Физика,
автор: andrejdrozdov05
Предмет: История,
автор: Artem6jg
Предмет: Українська мова,
автор: KorolewaDaria
Предмет: Алгебра,
автор: Valeriya134
Предмет: Химия,
автор: nastunya777