Предмет: Алгебра,
автор: алина3788
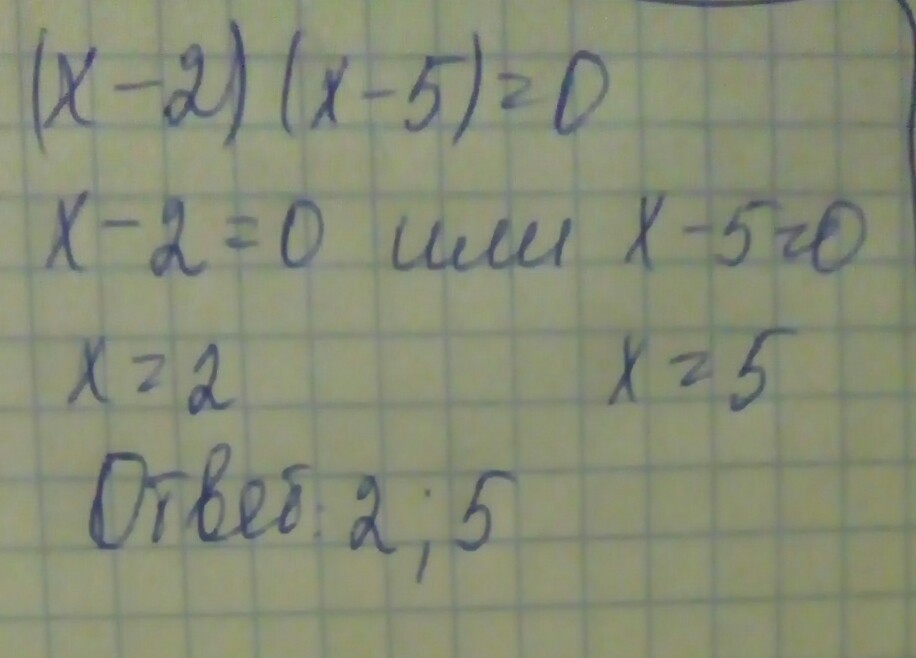
уравнение решите пожалуйста
Приложения:
Ответы
Автор ответа:
0
Легче этого ничего не решала:)
Приложения:
Похожие вопросы
Предмет: История,
автор: arinaapanovith
Предмет: Алгебра,
автор: kazarankamo980
Предмет: Математика,
автор: spolanskij002
Предмет: Математика,
автор: Ilyxa1901
Предмет: Геометрия,
автор: КираУмная