Предмет: Алгебра,
автор: Efficace
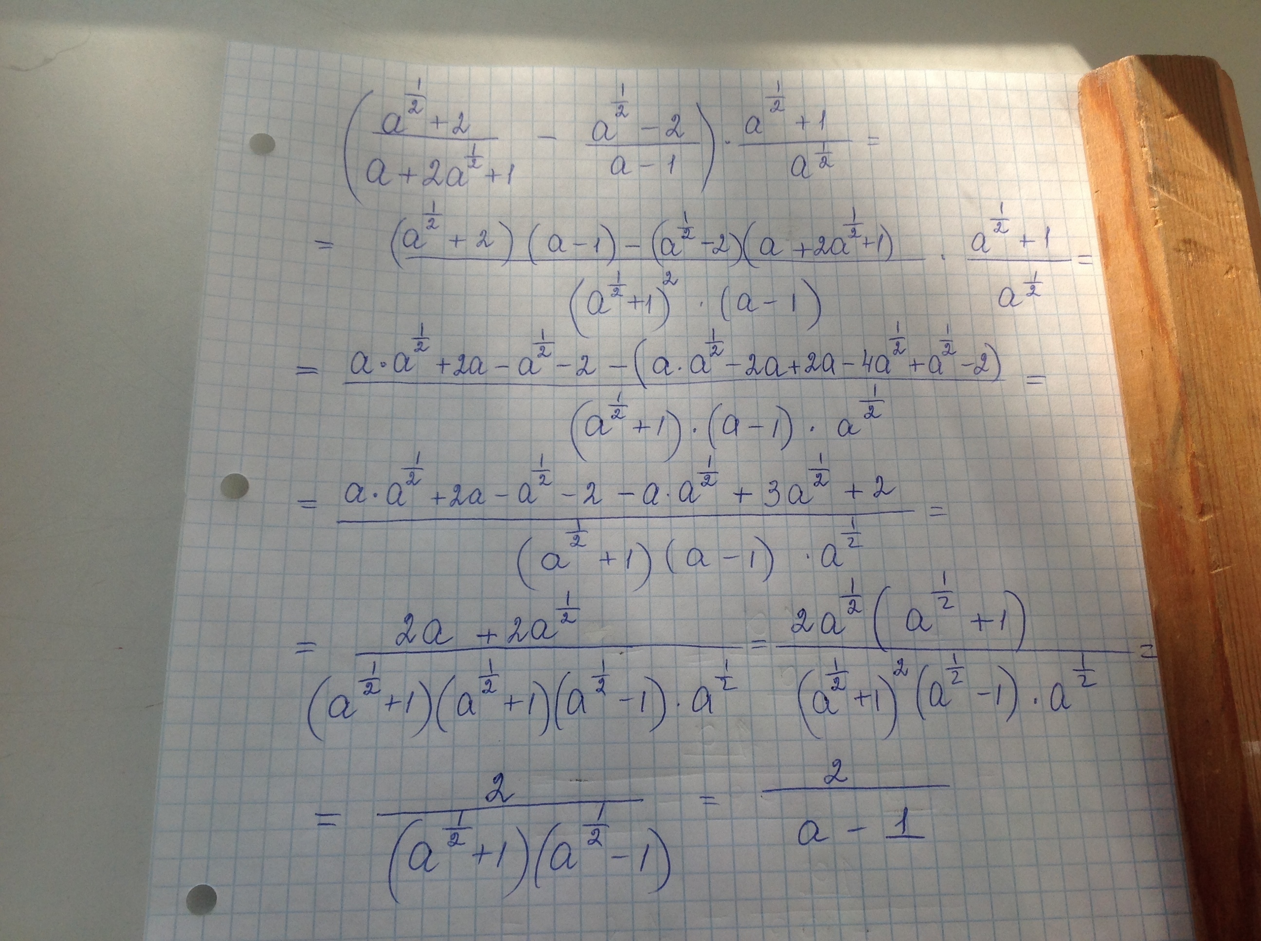
Очень срочно! помогите пожалуйста упростить большое выражение со степенями 10 класс
Приложения:
Ответы
Автор ответа:
0
Решение смотри на фото
Приложения:
Похожие вопросы
Предмет: Другие предметы,
автор: notperec
Предмет: Геометрия,
автор: antonivanov20081985
Предмет: Другие предметы,
автор: xxxx18x
Предмет: Математика,
автор: Reginat2003mailru
Предмет: Алгебра,
автор: MariaRipper