Предмет: Алгебра,
автор: Dyaasha
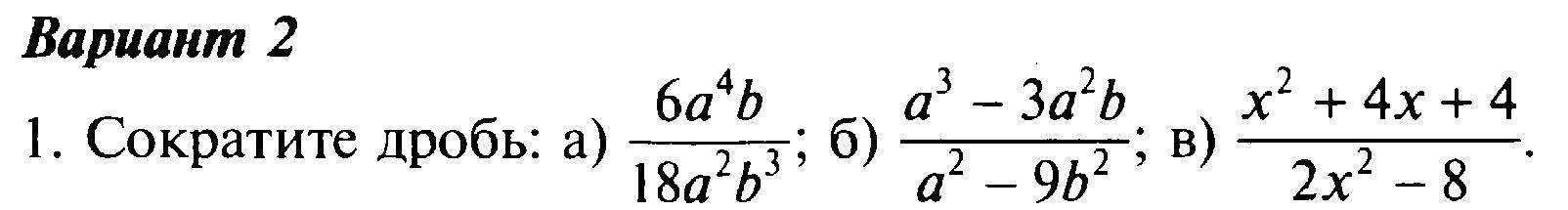
сложение и вычитание алгебраических дробей
Приложения:
Ответы
Автор ответа:
0
На всякий случай,еще раз проверь сама
Приложения:
Похожие вопросы
Предмет: Қазақ тiлi,
автор: kristinapodelo75
Предмет: Русский язык,
автор: fataeva
Предмет: Қазақ тiлi,
автор: ertajkausar
Предмет: Математика,
автор: appa96