Предмет: Физика,
автор: MihaelKeelh
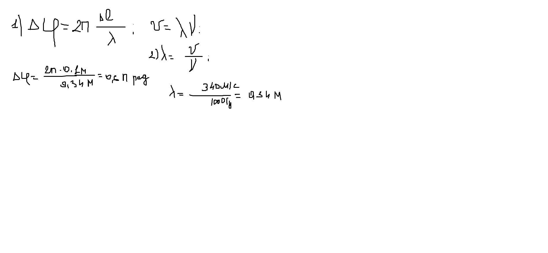
Определить разность фаз между колебаниями двух точек среды, находящихся на расстоянии 10 см друг от друга, если в среде распространяется плоская, монохроматическая волна вдоль линии, соединяющей эти точки. Скорость распространения волны равна 340 м/с, частота колебаний в источнике 1000 Гц
Ответы
Автор ответа:
0
Разность двух фаз найдем по формуле 1. Длину волны из формулы 2
Приложения:
Похожие вопросы
Предмет: Қазақ тiлi,
автор: withuchocolate
Предмет: Химия,
автор: qcocawe
Предмет: Информатика,
автор: vgpanov
Предмет: Алгебра,
автор: Ekaterina20012503