Предмет: Математика,
автор: fggs358
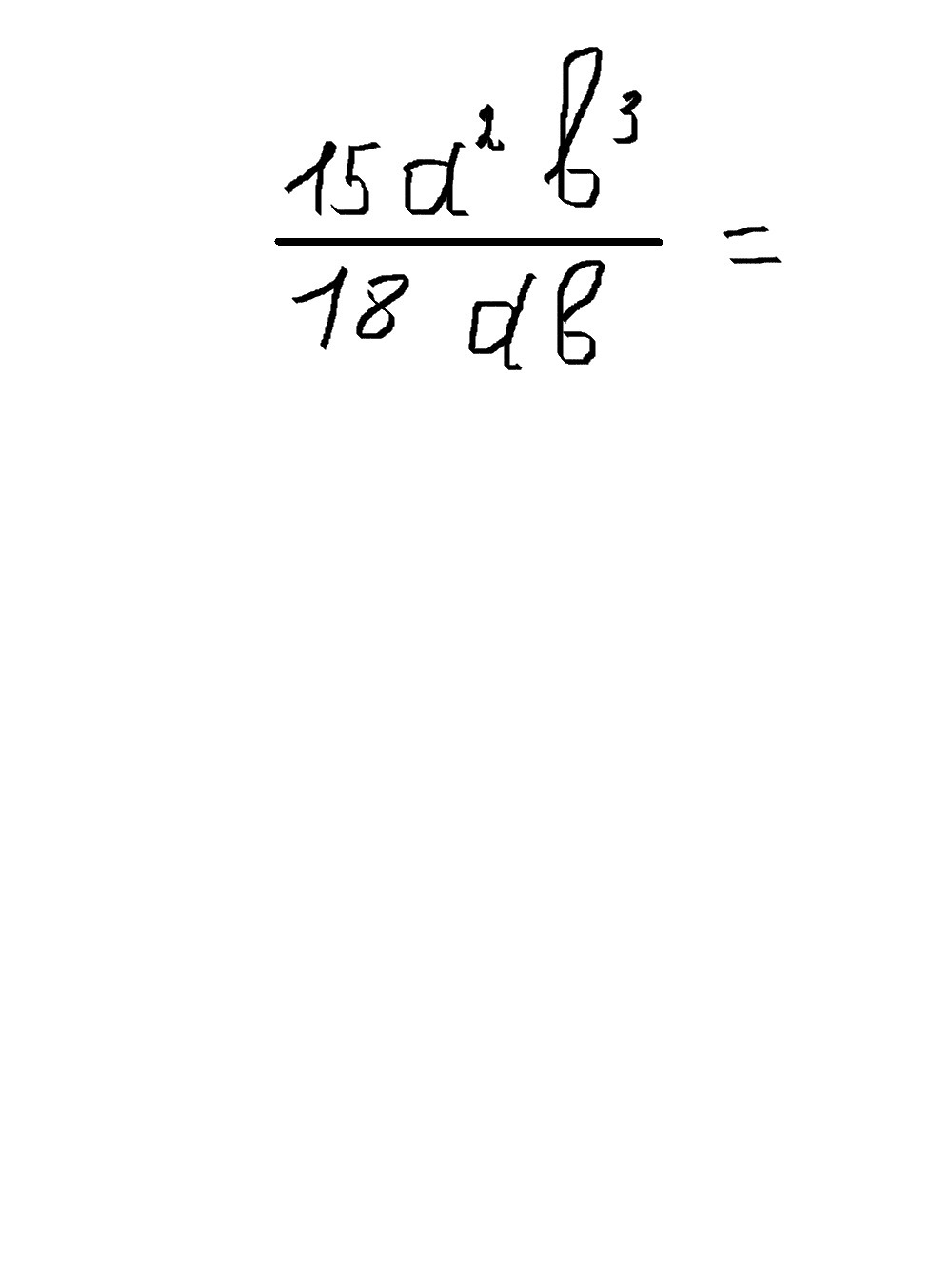
Сократите дробь:
(Пример внутри)
Приложения:
Ответы
Автор ответа:
0
Автор ответа:
0
сократим на 3ab
Автор ответа:
0
пожалуйста сочинение свободолюбие гордость любовь к родине черты воспетые стивенсон повести вересковый мёд и мицкевич. свитязь. балладах
Похожие вопросы
Предмет: Українська мова,
автор: annarudika11
Предмет: География,
автор: yaroslavsemenko2009
Предмет: История,
автор: imstasik
Предмет: Математика,
автор: Диана20041111
Предмет: Химия,
автор: PolinaLen1