Предмет: Алгебра,
автор: periask12
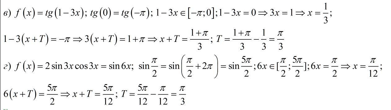
61. Найдите наименьший положительный период функций.
Приложения:
Ответы
Автор ответа:
0
..............................................................................
Приложения:
Похожие вопросы
Предмет: Русский язык,
автор: XooooSpuxt
Предмет: Биология,
автор: kusaiundidar0808
Предмет: Экономика,
автор: 4rtr4jyh2c
Предмет: Алгебра,
автор: кимикосан
Предмет: Химия,
автор: Caroline24