Предмет: Математика,
автор: dannyfx256
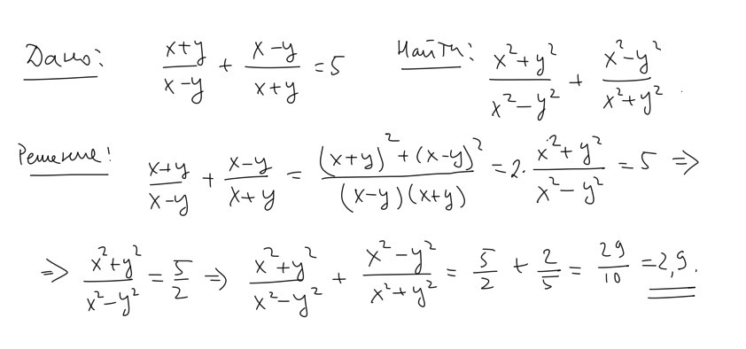
Известно, что $frac{x + y}{x - y}+frac{x-y}{x+y}=5$. Найдите значение выражения $frac{x^2 + y^2}{x^2 - y^2}+frac{x^2-y^2}{x^2+y^2}$
Помогите плз
Ответы
Автор ответа:
0
Решение прицеплено в картинке.
Приложения:
Похожие вопросы
Предмет: Химия,
автор: aruka030455
Предмет: Геометрия,
автор: tamirlanchonkaev
Предмет: Химия,
автор: ruslanlabenko20
Предмет: Информатика,
автор: Зикуся
Предмет: История,
автор: санп