Предмет: Алгебра,
автор: Durdochka
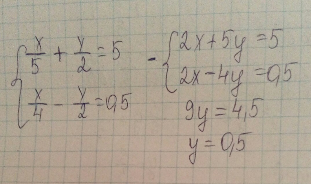
Помогите пожалуйста. СРОЧНО
100 раз пыталась решить. Никак!
Заранее спасибо))
Приложения:
Ответы
Автор ответа:
0
вот так вот
думаю правильно
думаю правильно
Приложения:
Похожие вопросы
Предмет: Геометрия,
автор: vscopanda30
Предмет: Физика,
автор: dobryhnikita7
Предмет: Физика,
автор: danabukin08
Предмет: Математика,
автор: lyudariaboshap
Предмет: Алгебра,
автор: Nicky222