Предмет: Математика, автор: YAvitaliy

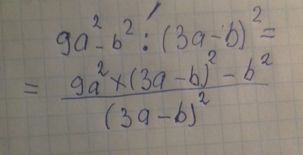
9a²-b² / (3a-b)² Спасибо

Ответы

Автор ответа: денис1059
0
удачи тебе в учебе))))
Приложения:
Автор ответа: YAvitaliy
0
Под / я имел в виду разделение между числителем и знаменателем
Автор ответа: YAvitaliy
0
Но уже не надо я решил
Автор ответа: денис1059
0
извини
Автор ответа: YAvitaliy
0
Ничего страшного, с кем не бывает
Похожие вопросы
Предмет: География, автор: Полина200423
Предмет: Литература, автор: AnitaAnitaAnitaAnita
Преисполненный надежд юноша услышал, что где-то есть счастливая страна. Он смело отправился на поиски, решив, что достоин отыскать ее и жить в ней. По предположениям людей, он понял, что страна эта находится в весьма отдаленном месте. Затратив много сил, юноша добрался до предполагаемого места, но счастливой страны там не нашел. Он снова начал расспрашивать о ней повсюду и, узнав о другом вероятном местонахождении, добрался и туда. Но, увы... к его разочарованию, он и там не нашел того, что искал.

Прошли годы поисков, здоровье юноши ухудшилось, сил почти не осталось, его смелость и дерзновение иссякли, порой его охватывало глубокое уныние и даже отчаяние. От его прежней самонадеянности не осталось и следа. Однажды усталый и разочарованный, он возвращался из очередных неудачных поисков. Стемнело, он потерял дорогу и понял, что заблудился.

Молодой человек присел на камень, обхватил голову руками и от сильного огорчения горько заплакал: «Нет, кажется я не достоин найти счастливую страну! Эта страна создана для других людей, более достойных, чем я! Кто я такой? Самонадеянный глупый человек, полный тщеславия и пустых мечтаний! Разве такие никчемные люди, как я, могут найти тот счастливый край и там обрести свое счастье? Что же, придется смириться, признать свое недостоинство и поражение и возвратиться домой ни с чем...»

Только он произнес эти слова, как вся местность озарилась чудесным светом, переливающимся всеми цветами радуги. Юноша огляделся: у его ног бедал и звенел чистый ручеек, вокруг, под легким ласковым ветерком благоухали цветущие сады, над деревьями порхали красивые бабочки.

Вдали, на зеленеющих полях работали веселые люди и пели песни, на горизонте голубели прекрасные очертания высоких гор, а в небе привольно реяли стаи щебечущих ласточек и стрижей... – «Так вот она – эта страна Счастья! – воскликнул радостно юноша. – Оказывается, она была совсем рядом...»
1.Что мешало юноше найти счастливую страну?____________________
2.Какую добродетель приобрёл юноша , прежде чем увидел страну Счастья?_________