Предмет: Математика,
автор: Аноним
Для знатоков, отличная тренировка. Буду очень признателен
Приложения:
Ответы
Автор ответа:
0
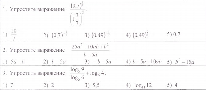
1. 
2.
3.
2.
3.
Похожие вопросы
Предмет: Оʻzbek tili,
автор: yasina10
Предмет: Биология,
автор: adel9666
Предмет: Алгебра,
автор: apspsos
Предмет: Химия,
автор: вероника1112321
Предмет: Физика,
автор: Alromashkina20