Предмет: Алгебра,
автор: Аноним
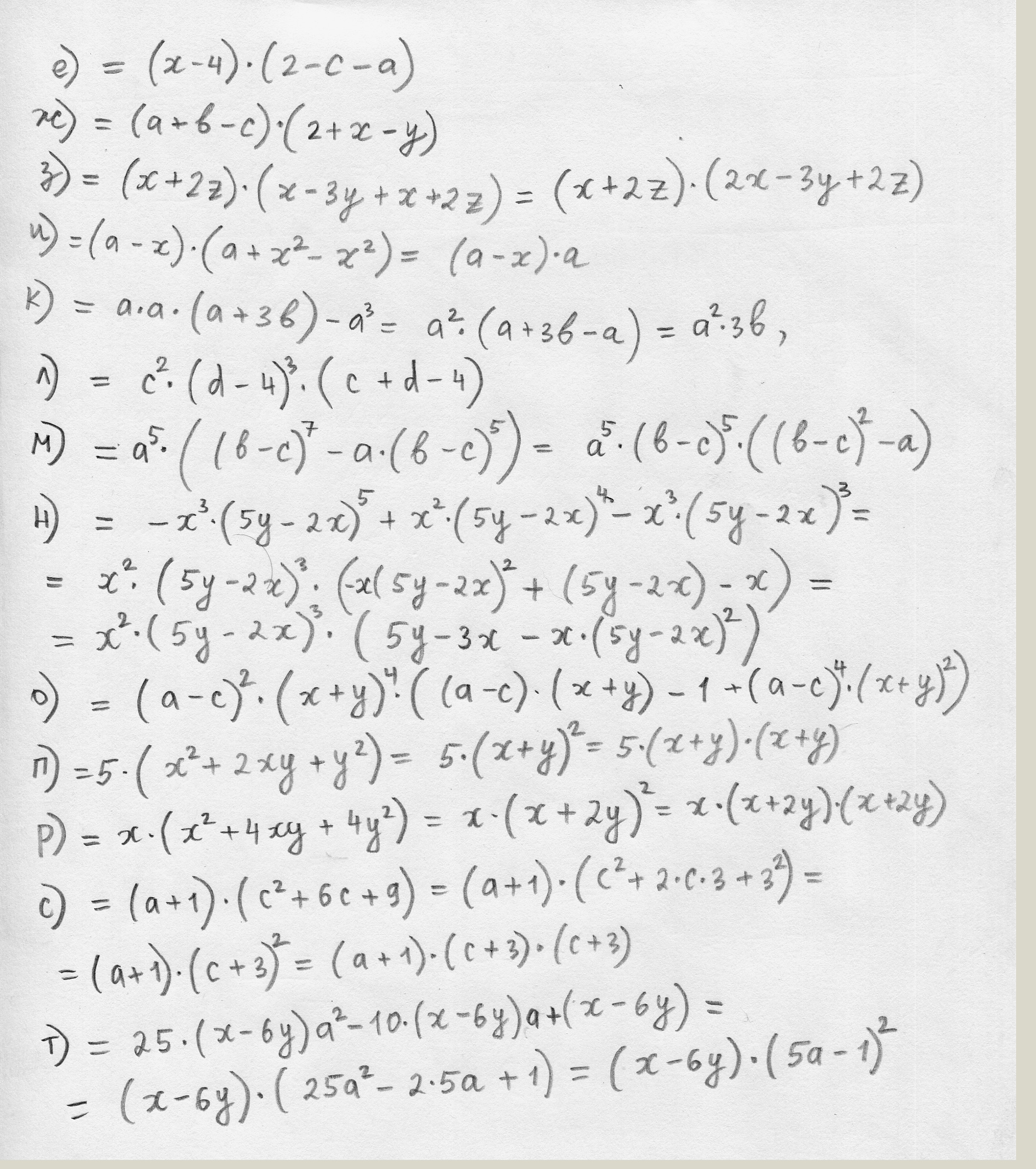
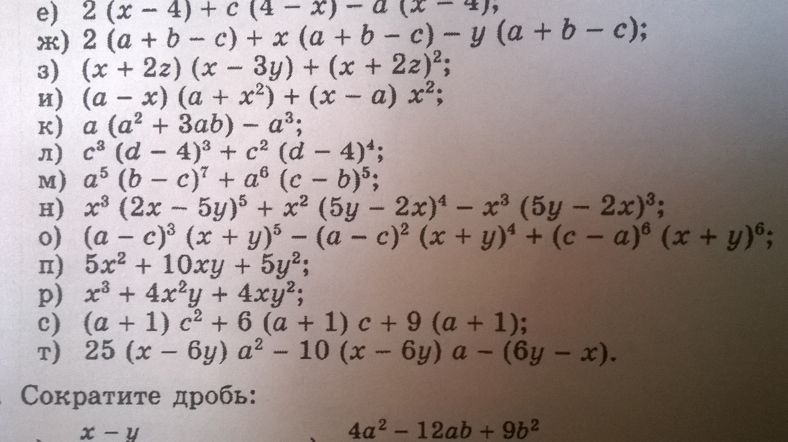
Помогите. Разложите на множители
Приложения:
Ответы
Автор ответа:
2
Я решил на листочке...
Приложения:
Похожие вопросы
Предмет: Химия,
автор: varvarakrasa470
Предмет: Геометрия,
автор: ukraine2019g
Предмет: Алгебра,
автор: koneva1404
Предмет: Английский язык,
автор: dmytro80
Предмет: Физика,
автор: mauhuhakujin