Предмет: Математика,
автор: Pandora1548
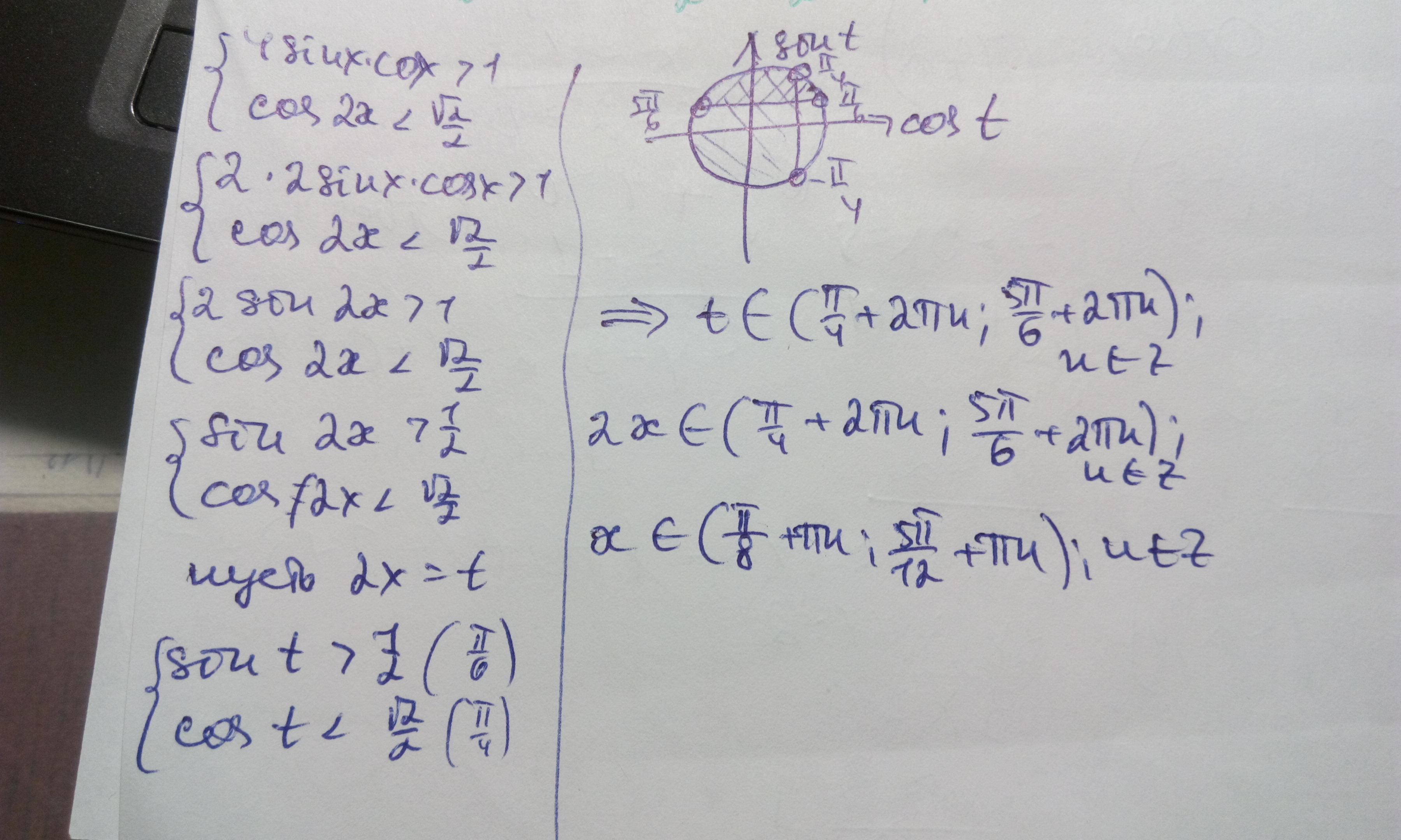
Система неравенств 4sinXcosX>1
Cos2x<корень из 2/2
Решить графическим способом
Ответы
Автор ответа:
5
Решение дано на фото.
Приложения:
Похожие вопросы
Предмет: Математика,
автор: lohlosara370
Предмет: Геометрия,
автор: sertaxi
Предмет: Физика,
автор: skateryna19
Предмет: Биология,
автор: moonrise0
Предмет: Математика,
автор: abubakarova71