Предмет: Математика, автор: dozop59

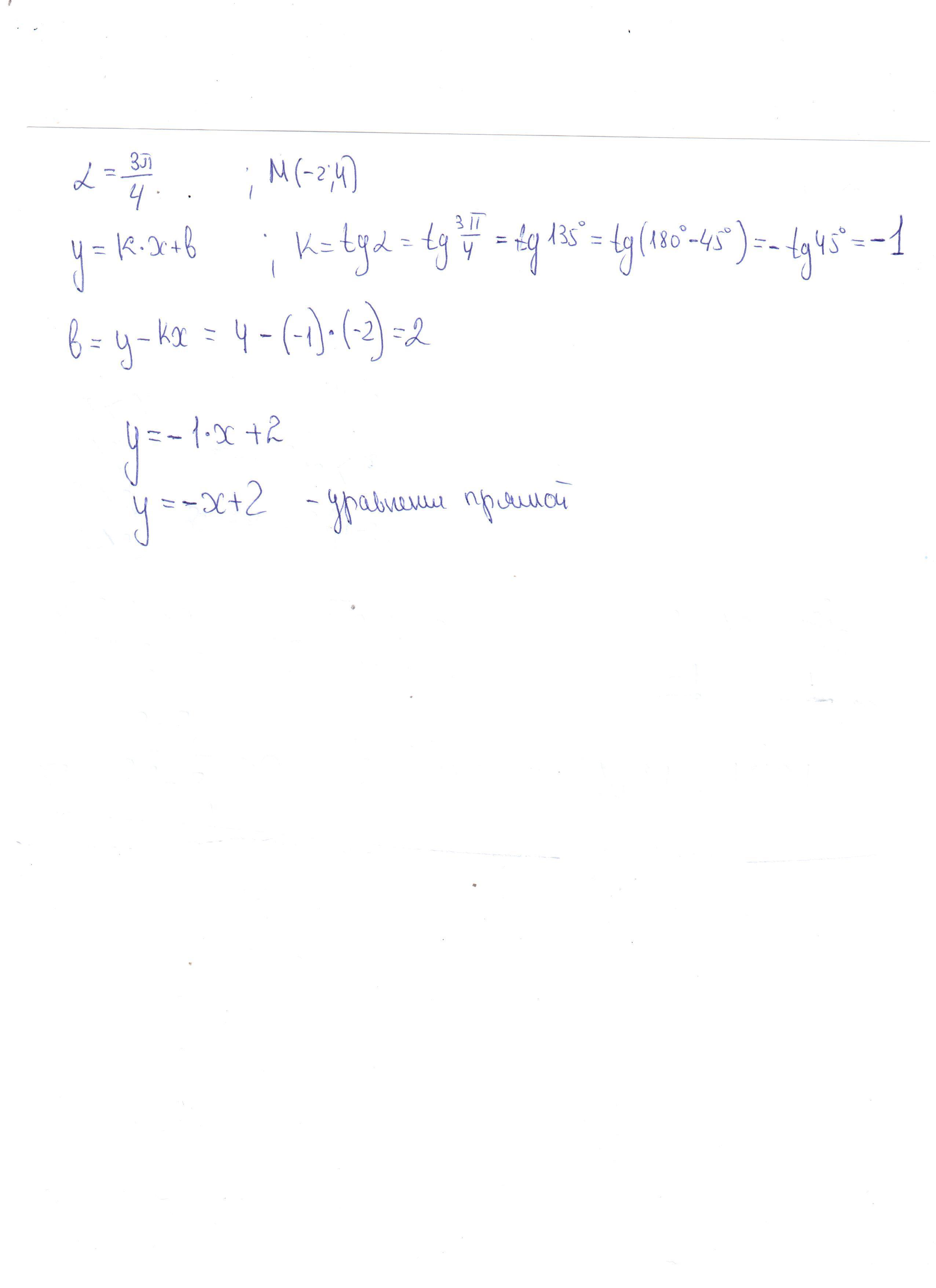
составить уравнение прямой с угловым коэффициентом если угол наклона прямой равен альфа=3пи/4 и прямая проходит через точку M(-2;4)

Ответы

Автор ответа: Аноним
2
Решение смотри в приложенном файле
Приложения:

dozop59: оуе, спасибо большое:333
Похожие вопросы
Предмет: Українська мова, автор: zircenkozorina
2.
3.
4.
5.
6.
Урок 106 ( 23.02.2023 )
Самостійна робота «Прикметник»
Якісні прикметники входять до складу обох словосполучень у рядку
А веселий гурт, учителева книжка
Б мудрий чоловік, гострий ніж
В електронна музика, сонячний день
Г вишневий кисіль, комп’ютерний клуб 1 б.
Присвійний прикметник є в реченні
А Весела хата, красна дівчина, коли у дворі є калина (О. Лупій).
Б Україно моя! Чисті хвилі ланів...(М. Рильський).
В Любіть травинку, і тваринку, і сонце завтрашнього дня (Л. Костенко). Г В очах стоїть гора Чернеча, копитом б’є Богданів кінь (М. Рильський). 1 б.
Ступені порівняння можна утворити від усіх прикметників у рядку
А стійкий, премудрий, гарний
Б лагідний, благородний, малий
В лисий, сміливий, апельсиновий
Г жовтуватий, худий, високий 1 б.
У якому реченні є помилка
А Гори здавалися вищими серед степу.
Б Сьогоднішній ранок більш теплий.
В Цікавішого співрозмовника годі й шукати. Г Магазин пропонує самі кращі товари. 1 б.
У якому рядку всі прикметники відносні
А осінній, кришталевий, зручний
Б грушевий, мідний, холодний
В громадський, яєчний, шовковий
Г манговий, пластиковий, тітчин 1 б.
НЕправильно утворено форму ступеня порівняння прикметника А тепліший
Б найбільш теплий
В найбільш тепліший
Г якнайтепліший 1 б.
Прочитайте текст і виконайте завдання 7-8 (за текстом)
На сході понад зеленим лісом небо було синє-синє, аж чорнувате, а на ньому подекуди плавали невеличкі червоні хмарочки, тліли й жевріли, неначе жар у темних челюстях вечірньою добою. Гасло полум’я на заході, дотлівали червоні хмарки, займалися подекуди серед неба ясні зорі. Тінь простелювалась чорним сукном по селу, по садках та лісах (За І. Нечуєм-Левицьким).
Прикметник невеличкі (1 речення) виконує роль А підмета
Б присудка
7.

В додатка
Г означення 1 б.
8. Випишіть із тексту ВИДІЛЕНІ прикметники разом з іменниками, до
яких вони відносяться, і визначте їх число, рід, відмінок, групу (якісний, відносний чи присвійний) 3 б.
Наприклад: синє-синє (небо) – однина, сер. рід, Н.в, якісний
9. Утворіть від поданих прикметників просту й складену форми
вищого і найвищого ступенів порівняння 2 б.
Чистий - Низький –