Предмет: Математика,
автор: ВасяКек3
Пожалуйста помогите друзья буду благодарен.
Приложения:
Ответы
Автор ответа:
0
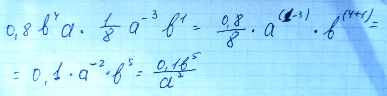
это решение по твоему условию!
Приложения:
Похожие вопросы
Предмет: Русский язык,
автор: jrjrkejejeie
Предмет: История,
автор: coolmotherstetes
Предмет: Физика,
автор: olesaknysenko
Предмет: Химия,
автор: lol6482