Предмет: Алгебра,
автор: karim0250
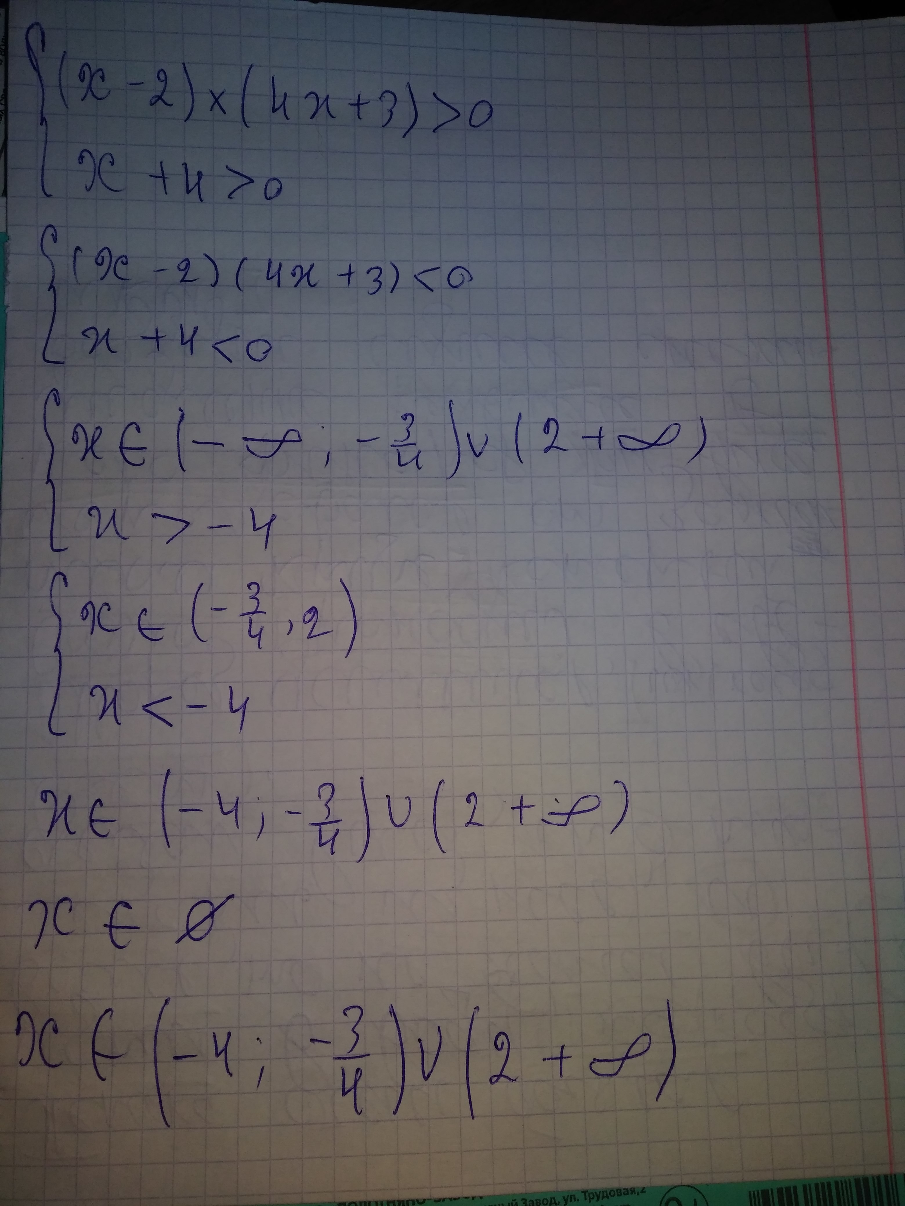
Отдам все баллы, решите неравенство (именно решение,на листочке напишите понятно) буду благодарен.
Приложения:
Ответы
Автор ответа:
0
ответ внизу на картинке
Надеюсь помог
Надеюсь помог
Приложения:
Похожие вопросы
Предмет: Алгебра,
автор: Spiwe
Предмет: Физика,
автор: olgarateva460
Предмет: Математика,
автор: krotovaveronika247
Предмет: Математика,
автор: роман261
Предмет: Музыка,
автор: дияра2