Предмет: Математика,
автор: ірина201789
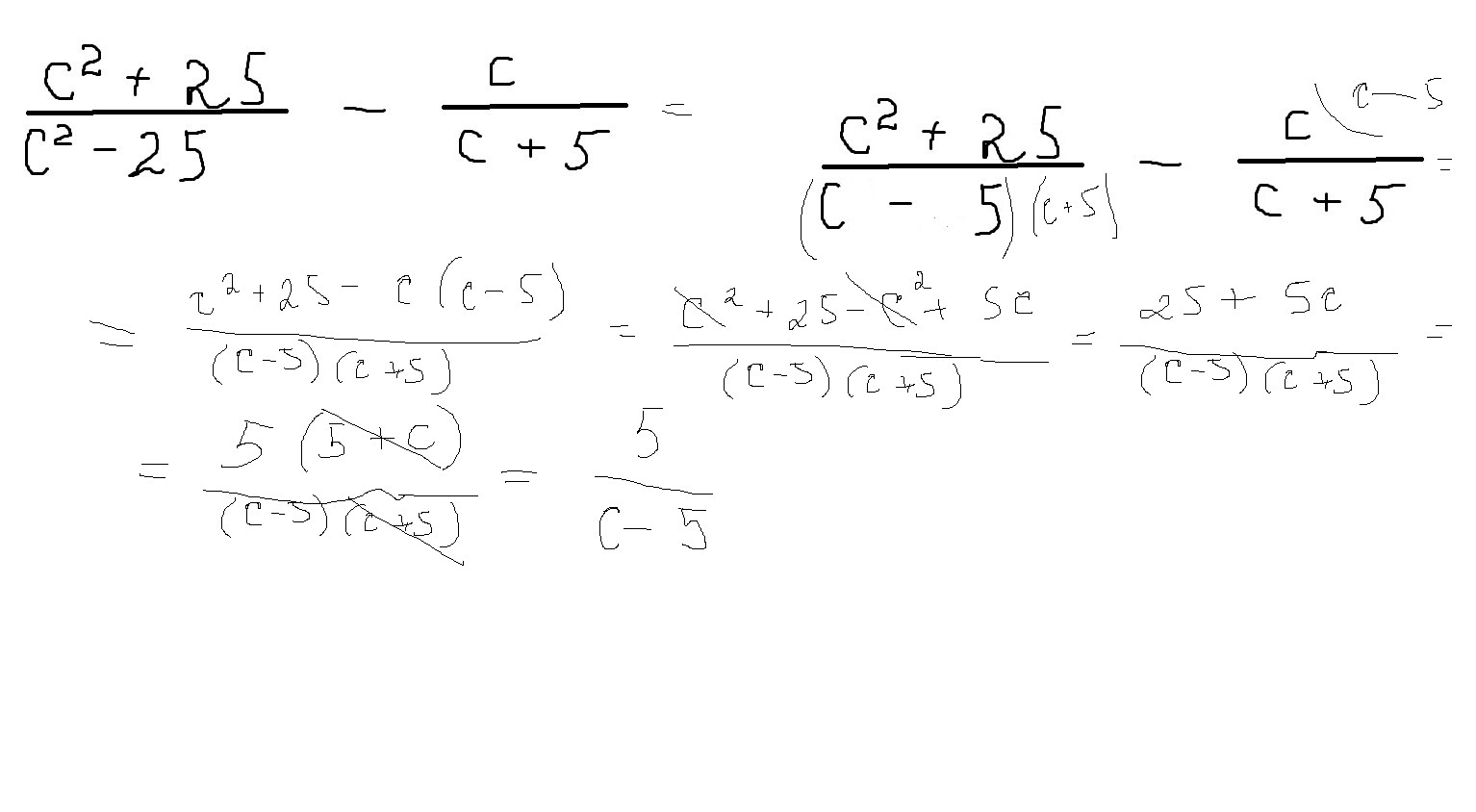
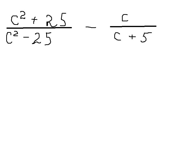
Спростіть вираз....................................................
Приложения:
Ответы
Автор ответа:
0
решение в приложенном файле
Приложения:
Похожие вопросы
Предмет: История,
автор: Аноним
Предмет: Алгебра,
автор: bondarovskaak
Предмет: Алгебра,
автор: cajnyjzapoj
Предмет: Математика,
автор: Алинка2003021
Предмет: Геометрия,
автор: Милена17473