Предмет: Алгебра,
автор: ВельДрум
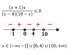
(х+1)х : (х-4) ( 10-х ) =< 0 ( =< больше или равно ) ( деление под дробной чертой)
Ответы
Автор ответа:
0
Добавила решение файлом
Приложения:
Похожие вопросы
Предмет: Геометрия,
автор: razinkovaulia106
Предмет: История,
автор: Imhotepvl
Предмет: Математика,
автор: Аноним
Предмет: Геометрия,
автор: vera555555555
Предмет: Алгебра,
автор: anna29k