Предмет: Математика,
автор: vladmc62
1.Даны комплексные числа z1=2-i; z2=-1+3i. Найдите их сумму, разность, произведение и частное
2.Определите боковую поверхность правильной 4-х угольной пирамиды, если её высота равна 4см, а апофема 8 см.
3.Решите уравнения: sin2xcosx–cos2xsinx=0.
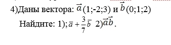
4.на скрине
Приложения:
Ответы
Автор ответа:
0
1)

2)
Решение в приложении
3)

4)

2)
Решение в приложении
3)
4)
Приложения:
Похожие вопросы
Предмет: Қазақ тiлi,
автор: gulnaz282001
Предмет: История,
автор: Аноним
Предмет: Математика,
автор: alimzhanbahytuly
Предмет: История,
автор: Clevergirl16
Предмет: Математика,
автор: адэлькурманов