Предмет: Алгебра,
автор: martynovanasty
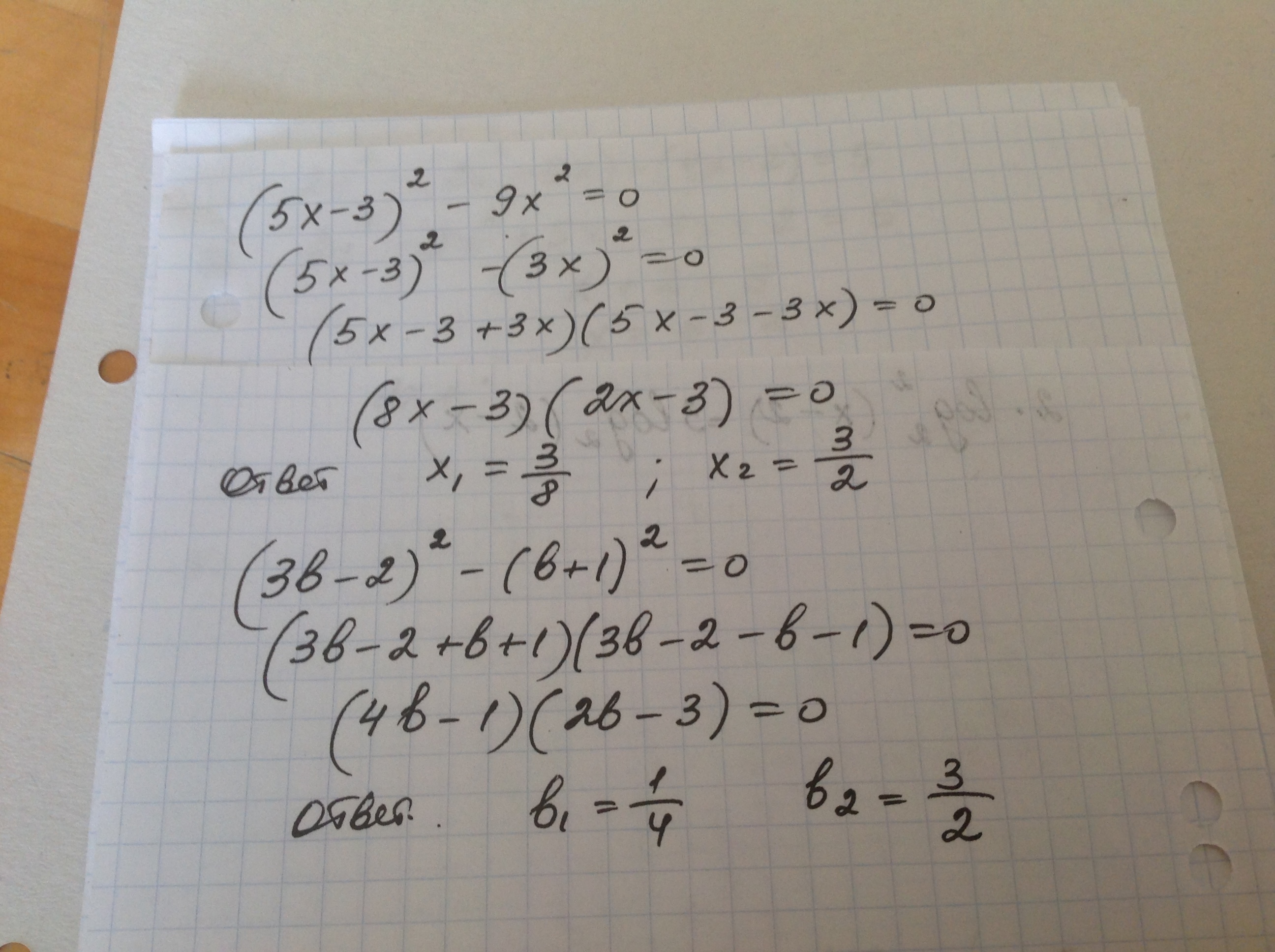
ПОЖАЛУЙСТА .решите уравнение (5x-3)^2-9x^2 = 0
(3b-2)^2-(b+1)^2=0 (^ - степень)
Ответы
Автор ответа:
0
Решение смотри на фото
Приложения:
Похожие вопросы
Предмет: Алгебра,
автор: lisenok666lera
Предмет: Физика,
автор: finamenalnyjluntik
Предмет: Математика,
автор: asanalimaksutbekov
Предмет: Физика,
автор: ilsiar