Предмет: Алгебра,
автор: li1215
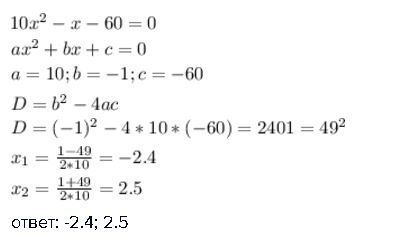
уровнения 10xво второй-x-60=0
Ответы
Автор ответа:
0
ответ: -2.4; 2.5
Приложения:
Похожие вопросы
Предмет: Физика,
автор: finamenalnyjluntik
Предмет: Математика,
автор: asanalimaksutbekov
Предмет: Литература,
автор: dariadaww
Предмет: Алгебра,
автор: Аноним
Предмет: География,
автор: miabrown96