Предмет: Алгебра,
автор: vik228vika
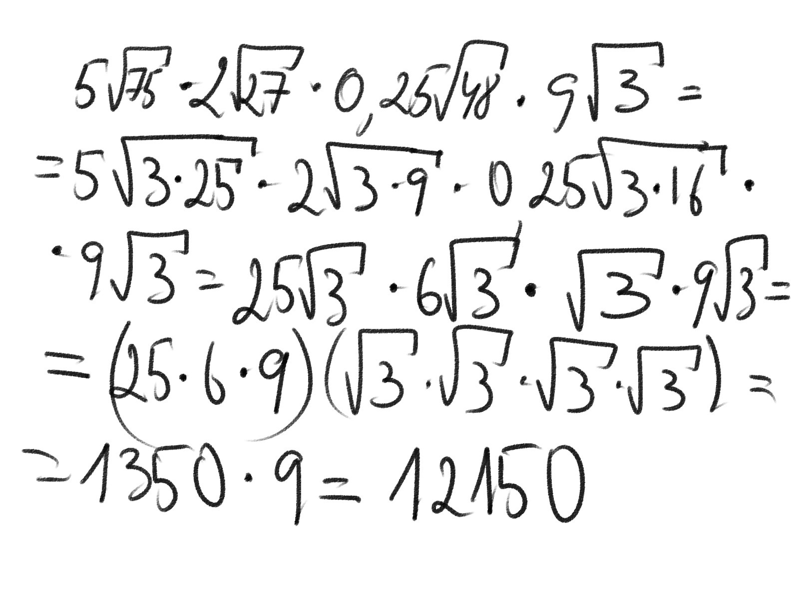
упростить выражение 5√75+2√27*0.25√48*9√3
Ответы
Автор ответа:
0
вот решение, надеюсь, поможет.
Приложения:
Похожие вопросы
Предмет: Английский язык,
автор: 20972
Предмет: Геометрия,
автор: nitik2281337
Предмет: Русский язык,
автор: Taisiasuper200
Предмет: Химия,
автор: Egor200011
Предмет: География,
автор: YaroSlavya