Предмет: Алгебра,
автор: nafisa13118
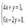
Плезз на листке решите или понятней завтра кр
Приложения:
Ответы
Автор ответа:
0
)))))))))))
)))))))))))
)))))))))))
Приложения:
Автор ответа:
0
Вы ж моя спасительнца блогадорю
Автор ответа:
0
А вы случайно неАблаева Эльзара
Автор ответа:
0
Нет я Алина Абраева
Автор ответа:
0
Всегда пожалуйста
Автор ответа:
0
Аааа
Похожие вопросы
Предмет: Английский язык,
автор: frog123
Предмет: Экономика,
автор: Carburator
Предмет: Алгебра,
автор: lisamakarova200
Предмет: Химия,
автор: art000109
Предмет: Математика,
автор: ргепако