Предмет: Математика,
автор: mik41
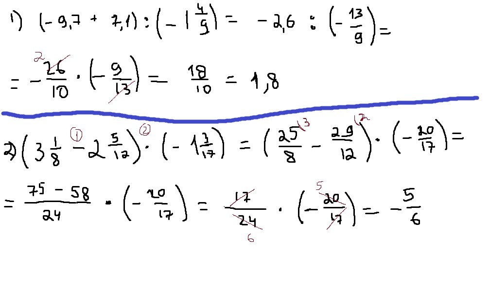
Решите 1,3 задание пожалуйста
Приложения:
Ответы
Автор ответа:
0
вроде так получается.
Приложения:
Похожие вопросы
Предмет: Математика,
автор: Аноним
Предмет: Химия,
автор: rahmatullokobulov7
Предмет: Геометрия,
автор: polina4cat7
Предмет: Математика,
автор: Окс76
Предмет: Музыка,
автор: mishash02