Предмет: Математика,
автор: андрухааа
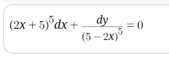
Дифференциальные уравнения первого порядка. Помогите пожалуйста, срочно нужно!!
Приложения:
Ответы
Автор ответа:
0
-dx=-dy
dx=dy
y=x+c
Похожие вопросы
Предмет: Физкультура и спорт,
автор: alisiyakoro
Предмет: Русский язык,
автор: isalmtiger2000
Предмет: Геометрия,
автор: angelinaafonina5503
Предмет: Физика,
автор: Аноним
Предмет: Физика,
автор: aikoshamoda