Предмет: Алгебра, автор: makc2k

помогите найти производную

Приложения:

Ответы

Автор ответа: подкожного
0
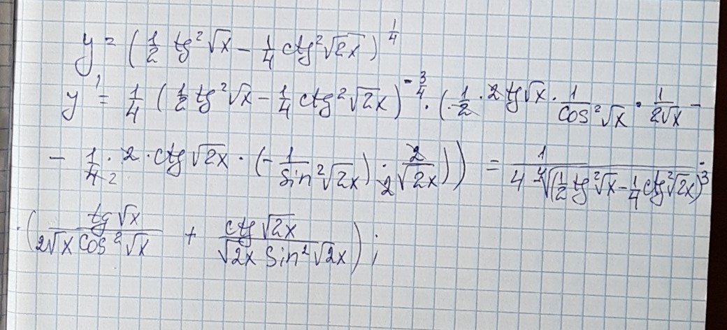
решение задания смотри на фотографии
Приложения:
Автор ответа: подкожного
0
пожалуйста
Автор ответа: makc2k
0
что
Автор ответа: подкожного
0
это пожалуйста на твоё спасибо!
Похожие вопросы
Предмет: Математика, автор: veronikapavlenko4
Предмет: Физика, автор: katexkzz
Предмет: Алгебра, автор: AndreyHoHeAndrey
Предмет: Право, автор: Макч