Предмет: Алгебра,
автор: rimmma
Помогите пожалуйста
Приложения:
Ответы
Автор ответа:
0
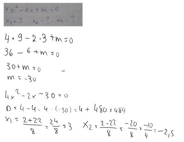
В 4 же всё просто, сначала находишь m. Для это подставляешь X1 и вычисляешь, а потом уже находишь x2.
Приложения:
Похожие вопросы
Предмет: Математика,
автор: yakovchuk22891
Предмет: Биология,
автор: kirilltej223
Предмет: Русский язык,
автор: teplovavaleria255
Предмет: Алгебра,
автор: Olfa
Предмет: Математика,
автор: russlaneva