Предмет: Алгебра,
автор: teddy9696
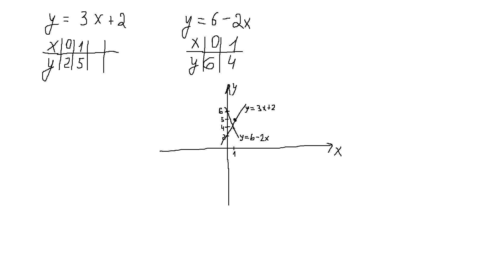
Как решить и начертить это:
y=3x+2 и y=6-2x
Ответы
Автор ответа:
0
Извините за корявость
Приложения:
Похожие вопросы
Предмет: Математика,
автор: sinmaksim22
Предмет: Литература,
автор: Аноним
Предмет: Английский язык,
автор: nslobodinska
Предмет: История,
автор: lehaoj
Предмет: Химия,
автор: ildarchimushta