Предмет: Алгебра,
автор: Марина18022
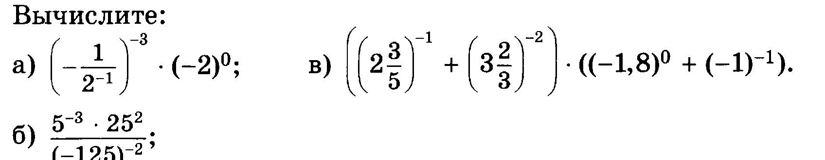
Помогите пожалуйста с вычислениями !!!!
Приложения:
Ответы
Автор ответа:
0
а) 
б)
в)
б)
в)
Похожие вопросы
Предмет: Алгебра,
автор: Tijcfujv
Предмет: Геометрия,
автор: adinaikaturgunbekova
Предмет: Оʻzbek tili,
автор: Feikoviy
Предмет: Математика,
автор: Толик11111
Предмет: Математика,
автор: oksana1234567891